Teniloxazine
![]() | |
| Clinical data | |
|---|---|
| Other names | Y-8894 |
| Routes of administration | Oral |
| ATC code |
|
| Legal status | |
| Legal status |
|
| Identifiers | |
IUPAC name
| |
| CAS Number |
|
| PubChem CID | |
| ChemSpider | |
| UNII | |
| ChEMBL | |
| CompTox Dashboard (EPA) | |
| Chemical and physical data | |
| Formula | C16H19NO2S |
| Molar mass | 289.39 g·mol−1 |
| 3D model (JSmol) | |
SMILES
| |
InChI
| |
| | |
Teniloxazine (Lucelan, Metatone), also known as sufoxazine and sulfoxazine, is a drug which is marketed in Japan.[1] Though initially investigated as a neuroprotective and nootropic agent for the treatment of cerebrovascular insufficiency in the 1980s,[2][3][4][5][6][7][8][9] it was ultimately developed and approved as an antidepressant instead.[10] It acts as a potent norepinephrine reuptake inhibitor, with fair selectivity over the serotonin and dopamine transporters, and also behaves as an antagonist of the 5-HT2A receptor.[7][10][11]
Synthesis
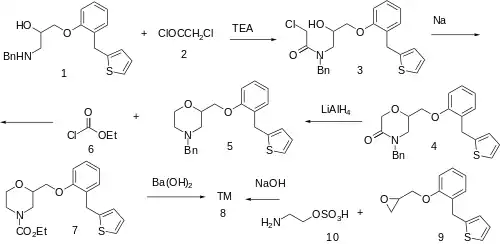
Amide formation between 1-(Benzylamino)-3-{2-[(thiophen-2-yl)methyl]phenoxy}propan-2-ol [62473-86-3] (1) and Chloroacetylchloride [79-04-9] (2) gives PC13682456 (3). In the presence of sodium metal closing of the ring morpholine occurs to give PC13682470 (4). Lactam reduction with lithium aluminium hydride affords 4-Benzyl-2-({2-[(thiophen-2-yl)methyl]phenoxy}methyl)morpholine [62473-77-2] (5). Treatment with Ethyl chloroformate [541-41-3] (6) gives the urethane and hence 4-Ethoxycarbonyl-2-[2-(2-thenyl)-phenoxymethyl]morpholine, PC21482171 (7). Hydrolysis of the carbamate in the presence of barium hydroxide completes the synthesis of Teniloxazine (8).
Alternately, base reaction between 1-[2-(2-thenyl)phenoxy]-2,3-epoxypropane [55506-46-2] (9) and 2-Aminoethyl hydrogen sulfate [926-39-6] (10) is another way to perform the synthesis.
See also
References
- ↑ Ganellin CR, Triggle DJ, Macdonald F (1997). Dictionary of pharmacological agents. CRC Press. p. 1905. ISBN 978-0-412-46630-4. Retrieved 27 October 2011.
- ↑ Anami K, Yamamoto Y, Setoguchi M (February 1985). "[Pharmacological studies on sufoxazine (Y-8894). (I) Effects on experimental amnesia in mice]". Nihon Yakurigaku Zasshi. Folia Pharmacologica Japonica (in Japanese). 85 (2): 71–7. doi:10.1254/fpj.85.71. PMID 2859238.
- ↑ Izumi N, Yasuda H (October 1985). "[Pharmacological studies on sufoxazine (Y-8894). (II). Anti-anoxic effect]". Nihon Yakurigaku Zasshi. Folia Pharmacologica Japonica (in Japanese). 86 (4): 323–8. doi:10.1254/fpj.86.323. PMID 4085932.
- ↑ Usa T, Morimoto Y, Fukuda T, Anami K, Setoguchi M, Maruyama Y (October 1986). "[Pharmacological studies on Y-8894. (III). Its effect on the abnormal electrocorticogram induced by destruction of the internal capsule]". Nihon Yakurigaku Zasshi. Folia Pharmacologica Japonica (in Japanese). 88 (4): 289–97. doi:10.1254/fpj.88.289. PMID 3491778.
- ↑ Yasuda H, Izumi N, Nakanishi M, Anami K, Maruyama Y (November 1986). "[Pharmacological studies on Y-8894. (IV). Ameliorative effect on a cerebral energy metabolism disorder induced by KCN]". Nihon Yakurigaku Zasshi. Folia Pharmacologica Japonica (in Japanese). 88 (5): 363–7. doi:10.1254/fpj.88.363. PMID 3817653.
- ↑ Anami K, Yamamoto Y, Setoguchi M, Maruyama Y (March 1987). "[Pharmacological studies on Y-8894. (V) Effect on learning and memory in intact and experimentally amnesic rats]". Nihon Yakurigaku Zasshi. Folia Pharmacologica Japonica (in Japanese). 89 (3): 145–53. doi:10.1254/fpj.89.145. PMID 2884174.
- 1 2 Setoguchi M, Takehara S, Sakamori M, Anami K, Maruyama Y (July 1987). "[Pharmacological studies on Y-8894 (VI). The effect on monoamine uptake and turnover in mouse brain]". Nihon Yakurigaku Zasshi. Folia Pharmacologica Japonica (in Japanese). 90 (1): 41–9. doi:10.1254/fpj.90.41. PMID 2443434.
- ↑ Yasumatsu H, Yamamoto Y, Takamuku H, et al. (December 1987). "[Pharmacological studies on Y-8894. (VII). Effects on transient cerebral ischemia-induced amnesia in rats]". Nihon Yakurigaku Zasshi. Folia Pharmacologica Japonica (in Japanese). 90 (6): 321–30. doi:10.1254/fpj.90.321. PMID 3443414.
- ↑ Anami K, Setoguchi M, Senoh H (August 1988). "[Pharmacological studies on Y-8894. (VIII). Effects on learning and memory in the radial maze task in mice]". Nihon Yakurigaku Zasshi. Folia Pharmacologica Japonica (in Japanese). 92 (2): 113–8. doi:10.1254/fpj.92.113. PMID 3224898.
- 1 2 Ogura C, Kishimoto A, Kunimoto N, et al. (May 1987). "Clinical pharmacology of a new antidepressant, Y-8894 in healthy young and elderly volunteers". British Journal of Clinical Pharmacology. 23 (5): 537–43. doi:10.1111/j.1365-2125.1987.tb03089.x. PMC 1386189. PMID 3593624.
- ↑ JP 2008189616A, "Therapeutic Agent for Attention-Deficit Hyperactivity Disorder"
- ↑ Serradell, MN; Blancafort, P.; Castaer, J.; Y-8894. Drugs Fut 1981, 6, 7, 423.
- ↑ Muro, Tomio; Yuki, Hiroshi; Kawakita, Takeshi; Chihara, Yasuaki; Yasumoto, Mitsuyoshi; Setoguchi, Shinro; Anami, Koretake; Setoguchi, Michihide (1986). "Syntheses and Pharmacological Activities of 2-(Substituted Phenoxymethyl) morpholine Derivatives". YAKUGAKU ZASSHI. 106 (9): 764–774. doi:10.1248/yakushi1947.106.9_764.
- ↑ Tomio Muro, et al. U.S. patent 4,005,084 (1977 to Welfide Corp).
- ↑ Muro Tomio, Chihara Yasuaki, et al. DE2530860, (1977 to Yoshitomi Pharmaceutical).
- ↑ Michihide Setoguchi, Koretake Anami, & Hiroshi Yasuda, EP0193637 (1986 to Welfide Corp).

