Nitrafudam
![]() | |
| Identifiers | |
|---|---|
| CAS Number | |
| PubChem CID | |
| ChemSpider | |
| UNII | |
| ChEMBL | |
| Chemical and physical data | |
| Formula | C11H9N3O3 |
| Molar mass | 231.211 g·mol−1 |
| 3D model (JSmol) | |
SMILES
| |
InChI
| |
Nitrafudam is an antidepressant compound that was developed in the 1970-1980s.[1][2] It contains three functional groups: a nitrobenzene, a furan ring and an amidine.
Synthesis

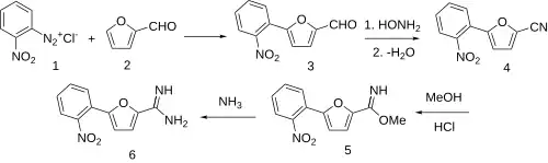
Nitrafudam synthesis
Azo coupling between 2-nitrophenyldiazonium chloride [119-66-4] (1) and furfural (2) leads to 5-(2-nitrophenyl)furfural [20000-96-8] (3). Treatment of the aldehyde with hydroxylamine gives the corresponding aldoxime (PC789659). Upon dehydration, FGI to the nitrile occurs [57666-58-7] (4). A Pinner reaction with anhydrous methanolic hydrogen chloride gives the corresponding imidate (imino-ether) [62821-40-3] (5). An addition-elimination reaction with ammonia causes FGI to an amidine, thus completing the synthesis of nitrafudam (6).
References
- ↑ Pong SF, Pelosi SS, Wessels FL, Yu CN, Burns RH, White RE, et al. (1983). "5-phenyl-2-furamidines: a new chemical class of potential antidepressants". Arzneimittel-Forschung. 33 (10): 1411–1416. PMID 6140016.
- ↑ US 3919231, Pelosi SS Jr, White RE, White RL Jr, Wright GC, You CN, issued 1975, assigned to Morton Norwich Products Inc
This article is issued from Wikipedia. The text is licensed under Creative Commons - Attribution - Sharealike. Additional terms may apply for the media files.
