Metazosin
![]() | |
| Names | |
|---|---|
| IUPAC name
1-[4-(4-Amino-6,7-dimethoxyquinazolin-2-yl)piperazin-1-yl]-2-methoxypropan-1-one | |
| Other names
Kenosin | |
| Identifiers | |
CAS Number |
|
3D model (JSmol) |
|
| ChemSpider | |
PubChem CID |
|
| UNII | |
CompTox Dashboard (EPA) |
|
InChI
| |
SMILES
| |
| Properties | |
Chemical formula |
C18H25N5O4 |
| Molar mass | 375.429 g·mol−1 |
Except where otherwise noted, data are given for materials in their standard state (at 25 °C [77 °F], 100 kPa).
Infobox references | |
Metazosin is an antihypertensive α1-adrenergic receptor antagonist.[1][2]
Synthesis
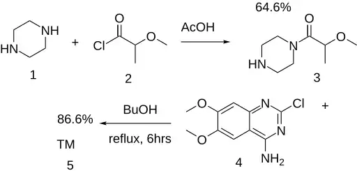
The amide (3) is formed when piperazine is reacted with 2-methoxypropionylchloride (2). Metazosin is the product when this intermediate is reacted with the substituted quinazoline (4).[3][4]
References
- ↑ Trcka, V; König, J; Mácová, S; Smíd, M; Helfert, I; Votavová, M; Remesová, J; Nezádalová, E (1990). "Pharmacology of a new antihypertensive agent, metazosin (Kenosin)". Ceskoslovenska Farmacie. 39 (6): 266–74. PMID 1981860.
- ↑ Lapka, R; Rejholec, V; Sechser, T; Peterková, M; Smíd, M (1989). "Interspecies pharmacokinetic scaling of metazosin, a novel alpha-adrenergic antagonist". Biopharmaceutics & Drug Disposition. 10 (6): 581–9. doi:10.1002/bdd.2510100607. PMID 2575403.
- ↑ US patent 4775673, Jan Koenig, Miroslav Rajsner, Vaclav Trcka, Sverluse Macova, "Substituted acylpiperazinoquinazolines and pharmaceutical compositions containing same", issued 1988-10-04, assigned to Spofa Spojene Podniky Pro Zdravotnickou Vyrobu
- ↑ "Metazosin". chemdrug.com. Retrieved 2024-07-08.
This article is issued from Wikipedia. The text is licensed under Creative Commons - Attribution - Sharealike. Additional terms may apply for the media files.

