Hunsdiecker reaction
| Hunsdiecker reaction | |
|---|---|
| Named after | Heinz Hunsdiecker Cläre Hunsdiecker Alexander Borodin |
| Reaction type | Substitution reaction |
| Identifiers | |
| Organic Chemistry Portal | hunsdiecker-reaction |
| RSC ontology ID | RXNO:0000106 |
The Hunsdiecker reaction (also called the Borodin reaction or the Hunsdiecker–Borodin reaction) is a name reaction in organic chemistry whereby silver salts of carboxylic acids react with a halogen to produce an organic halide.[1] It is an example of both a decarboxylation and a halogenation reaction as the product has one fewer carbon atoms than the starting material (lost as carbon dioxide) and a halogen atom is introduced its place.[2][3] A catalytic approach has been developed.[4]
History
The reaction is named after Cläre Hunsdiecker and her husband Heinz Hunsdiecker, whose work in the 1930s[5][6] developed it into a general method.[1]
The reaction was first demonstrated by Alexander Borodin in 1861 in his reports of the preparation of methyl bromide (CH3Br) from silver acetate (CH3CO2Ag).[7][8]
Three decades later, Angelo Simonini, working as a student of Adolf Lieben at the University of Vienna, investigated the reactions of silver carboxylates with iodine.[2] He found that the products formed are determined by the stoichiometry within the reaction mixture. Using a carboxylate-to-iodine ratio of 1:1 leads to an alkyl iodide product, in line with Borodin's findings and the modern understanding of the Hunsdiecker reaction. However, a 2:1 ratio favours the formation of an ester product that arises from decarboxylation of one carboxylate and coupling the resulting alkyl chain with the other.[9][10]
Using a 3:2 ratio of reactants leads to the formation of a 1:1 mixture of both products.[9][10] These processes are sometimes known as the Simonini reaction rather than as modifications of the Hunsdiecker reaction.[2][3]
- 3 RCOOAg + 2 I
2 → RI + RCOOR + 2 CO
2 + 3 AgI
Reaction mechanism
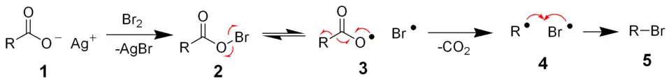
In terms of reaction mechanism, the Hunsdiecker reaction is believed to involve organic radical intermediates. The silver salt 1 reacts with bromine to form the acyl hypohalite intermediate 2. Formation of the diradical pair 3 allows for radical decarboxylation to form the diradical pair 4, which recombines to form the organic halide 5. The trend in the yield of the resulting halide is primary > secondary > tertiary.[2][3]
Variations
The reaction cannot be performed in protic solvents, as these induce decomposition of the intermediate acetyl hypohalite.
Other counterions than silver typically have slow reaction rates. The relativistic metals mercury, thallium, and lead are preferred: inert counterions, such as the alkali metals, have only rarely led to reported success.[11]: 464 The Kochi reaction is a variation on the Hunsdiecker reaction developed by Jay Kochi that uses lead(IV) acetate and lithium chloride (lithium bromide can also be used) to effect the halogenation and decarboxylation.[12]

In the presence of multiple bonds, the intermediate acetyl hypohalite prefers to add to the bond, producing an α-haloester. Steric considerations suppress this tendency in α,β-unsaturated carboxylic acids, which instead polymerize (see below).[11]: 468
Mercuric oxide and bromine convert 3-chlorocyclobutanecarboxylic acid to 1-bromo-3-chlorocyclobutane. This is known as Cristol-Firth modification.[13][14][15] The 1,3-dihalocyclobutanes were key precursors to propellanes.[16] The reaction has been applied to the preparation of ω-bromo esters with chain lengths between five and seventeen carbon atoms, with the preparation of methyl 5-bromovalerate published in Organic Syntheses as an exemplar.[17]
Reaction with α,β-unsaturated carboxylic acids

For unsaturated compounds, the radical conditions associated with the Hunsdiecker reaction can also induce polymerization instead of decarboxylation.[11]: 468 Consequently, reactions with α,β-unsaturated carboxylic acids typically give low yield.[18] Kuang et al have found that an alternate radical halogenating agent, N-halosuccinimide, combined with a lithium acetate catalyst, gives a higher yield of β-halostyrenes. The reaction also improves in the presence of microwave irradiation, which preferentially synthesizes (E)-β-arylvinyl halides.[19]
For a green metal-free reaction, tetrabutylammonium trifluoroacetate serves as an alternative catalyst.[20] However, it only exhibits comparable yields to the original lithium acetate when performed with micellular surfactants.[19][21][22]
See also
References
- 1 2 Li, J. J. (2014-01-30). "Hunsdiecker–Borodin Reaction". Name Reactions: A Collection of Detailed Mechanisms and Synthetic Applications (5th ed.). Springer Science & Business Media. pp. 327–328. ISBN 9783319039794.
- 1 2 3 4 Johnson, R. G.; Ingham, R. K. (1956). "The Degradation of Carboxylic Acid Salts by Means of Halogen – the Hunsdiecker Reaction". Chem. Rev. 56 (2): 219–269. doi:10.1021/cr50008a002.
- 1 2 3 Wilson, C. V. (1957). "The Reaction of Halogens with Silver Salts of Carboxylic Acids". Org. React. 9: 332–387. doi:10.1002/0471264180.or009.05. ISBN 0471264180.
{{cite journal}}: ISBN / Date incompatibility (help) - ↑ Wang, Zhentao; Zhu, Lin; Yin, Feng; Su, Zhongquan; Li, Zhaodong; Li, Chaozhong (2012). "Silver-Catalyzed Decarboxylative Chlorination of Aliphatic Carboxylic Acids". Journal of the American Chemical Society. 134 (9): 4258–4263. doi:10.1021/ja210361z. PMID 22316183.
- ↑ US patent 2176181, Hunsdiecker, C.; Vogt, E. & Hunsdiecker, H., "Method of manufacturing organic chlorine and bromine derivatives", published 1939-10-17, assigned to Hunsdiecker, C.; Vogt, E.; Hunsdiecker, H.
- ↑ Hunsdiecker, H.; Hunsdiecker, C. (1942). "Über den Abbau der Salze aliphatischer Säuren durch Brom" [About the degradation of salts of aliphatic acids by bromine]. Chemische Berichte (in German). 75 (3): 291–297. doi:10.1002/cber.19420750309.
- ↑ Borodin, A. (1861). "Ueber Bromvaleriansäure und Brombuttersäure" [About bromovaleric acid and bromobutyric acid]. Annalen der Chemie und Pharmacie (in German). 119: 121–123. doi:10.1002/jlac.18611190113.
- ↑ Borodin, A. (1861). "Ueber de Monobrombaldriansäure und Monobrombuttersäure" [About the monobromovaleric acid and monobromobutyric acid]. Zeitschrift für Chemie und Pharmacie (in German). 4: 5–7.
- 1 2 Simonini, A. (1892). "Über den Abbau der fetten Säuren zu kohlenstoffärmeren Alkoholen" [About the breakdown of fatty acids to lower carbon alcohols]. Monatshefte für Chemie und verwandte Teile anderer Wissenschaften (in German). 13 (1): 320–325. doi:10.1007/BF01523646. S2CID 197766447.
- 1 2 Simonini, A. (1893). "Über den Abbau der fetten Säuren zu kohlenstoffärmeren Alkoholen" [About the breakdown of fatty acids to lower carbon alcohols]. Monatshefte für Chemie und verwandte Teile anderer Wissenschaften (in German). 14 (1): 81–92. doi:10.1007/BF01517859. S2CID 104367588.
- 1 2 3 Tanner, Denis D.; Bunce, Nigel J. (1972). "The acyl hypohalites". In Patai, Saul (ed.). The chemistry of acyl halides. The Chemistry of Functional Groups. Bristol / London: John Wright & Sons / Interscience. pp. 463–471. doi:10.1002/9780470771273. ISBN 0-471-66936-9. LCCN 70-37114 – via the Internet Archive.
- ↑ Kochi, J. K. (1965). "A New Method for Halodecarboxylation of Acids Using Lead(IV) Acetate". Journal of the American Chemical Society. 87 (11): 2500–2502. doi:10.1021/ja01089a041.
- ↑ Lampman, G. M.; Aumiller, J. C. (1971). "Mercury(II) oxide-modified Hunsdiecker reaction: 1-Bromo-3-chlorocyclobutane". Org. Synth. 51: 106. doi:10.15227/orgsyn.051.0106; Coll. Vol., vol. 6, p. 179.
- ↑ Lampman, G. M.; Aumiller, J. C. (1971). "Bicyclo[1.1.0]butane". Org. Synth. 51: 55. doi:10.15227/orgsyn.051.0055; Coll. Vol., vol. 6, p. 133.
- ↑ Meek, J. S.; Osuga, D. T. (1963). "Bromocyclopropane". Org. Synth. 43: 9. doi:10.15227/orgsyn.043.0009; Coll. Vol., vol. 5, p. 126.
- ↑ Wiberg, K. B.; Lampman, G. M.; Ciula, R. P.; Connor, D. S.; Schertler, P.; Lavanish, J. (1965). "Bicyclo[1.1.0]butane". Tetrahedron. 21 (10): 2749–2769. doi:10.1016/S0040-4020(01)98361-9.
- ↑ Allen, C. F. H.; Wilson, C. V. (1946). "Methyl 5-bromovalerate (Valeric acid, δ-bromo-, methyl ester)". Org. Synth. 26: 52. doi:10.15227/orgsyn.026.0052; Coll. Vol., vol. 3, p. 578.
- ↑ Chowdhury, Shantanu; Roy, Sujit (1997-01-01). "The First Example of a Catalytic Hunsdiecker Reaction: Synthesis of β-Halostyrenes". The Journal of Organic Chemistry. 62 (1): 199–200. doi:10.1021/jo951991f. ISSN 0022-3263. PMID 11671382.
- 1 2 Kuang, Chunxiang; Senboku, Hisanori; Tokuda, Masao (2000). "Stereoselective Synthesis of (E)-β-Arylvinyl Halides by Microwave-Induced Hunsdiecker Reaction". Synlett. 2000 (10): 1439–1442. doi:10.1055/s-2000-7658. ISSN 0936-5214.
- ↑ Naskar, Dinabandhu; Chowdhury, Shantanu; Roy, Sujit (1998-02-12). "Is metal necessary in the Hunsdiecker-Borodin reaction?". Tetrahedron Letters. 39 (7): 699–702. doi:10.1016/S0040-4039(97)10639-6. ISSN 0040-4039.
- ↑ Das, Jaya Prakash; Roy, Sujit (2002-11-01). "Catalytic Hunsdiecker Reaction of α,β-Unsaturated Carboxylic Acids: How Efficient Is the Catalyst?". The Journal of Organic Chemistry. 67 (22): 7861–7864. doi:10.1021/jo025868h. ISSN 0022-3263. PMID 12398515.
- ↑ Rajanna, K. C.; Reddy, N. Maasi; Reddy, M. Rajender; Saiprakash, P. K. (2007-04-01). "Micellar Mediated Halodecarboxylation of α,β-Unsaturated Aliphatic and Aromatic Carboxylic Acids—A Novel Green Hunsdiecker–Borodin Reaction". Journal of Dispersion Science and Technology. 28 (4): 613–616. doi:10.1080/01932690701282690. ISSN 0193-2691. S2CID 96943205.


