Alkynylation
In organic chemistry, alkynylation is an addition reaction in which a terminal alkyne (−C≡CH) is added to a carbonyl group (C=O) to form an α-alkynyl alcohol (R2C(−OH)−C≡C−R).[1][2]
When the acetylide is formed from acetylene (HC≡CH), the reaction gives an α-ethynyl alcohol. This process is often referred to as ethynylation. Such processes often involve metal acetylide intermediates.
Scope
The principal reaction of interest involves the addition of the acetylene (HC≡HR) to a ketone (R2C=O) or aldehyde (R−CH=O):
The reaction proceeds with retention of the triple bond. For aldehydes and unsymmetrical ketones, the product is chiral, hence there is interest in asymmetric variants. These reactions invariably involve metal-acetylide intermediates.
This reaction was discovered by chemist John Ulric Nef in 1899 while experimenting with reactions of elemental sodium, phenylacetylene, and acetophenone.[3][4] For this reason, the reaction is sometimes referred to as Nef synthesis. Sometimes this reaction is erroneously called the Nef reaction, a name more often used to describe a different reaction (see Nef reaction).[1][3][5] Chemist Walter Reppe coined the term ethynylation during his work with acetylene and carbonyl compounds.[1]
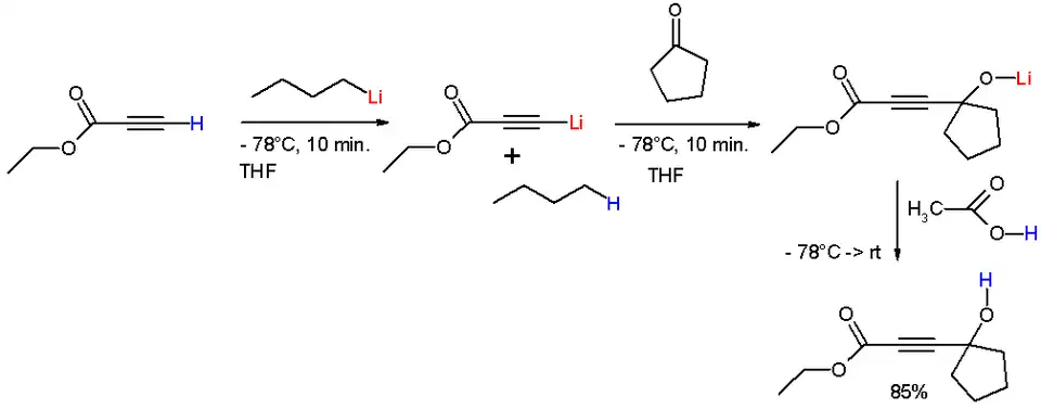
In the following reaction (scheme 1), the alkyne proton of ethyl propiolate is deprotonated by n-butyllithium at -78 °C to form lithium ethyl propiolate to which cyclopentanone is added forming a lithium alkoxide. Acetic acid is added to remove lithium and liberate the free alcohol.[6]

Modifications
Several modifications of alkynylation reactions are known:
- In the Arens–van Dorp synthesis the compound ethoxyacetylene[7] is converted to a Grignard reagent and reacted with a ketone, the reaction product is a propargyl alcohol.[8][9]
- The Isler modification is a modification of Arens–Van Dorp Synthesis where ethoxyacetylene is replaced by β-chlorovinyl ethyl ether and lithium amide.[8]

Catalytic variants
Alkynylations, including the asymmetric variety, have been developed as metal-catalyzed reactions.[10][1] Various catalytic additions of alkynes to electrophiles in water have also been developed.[11]
Uses
Alkynylation finds use in synthesis of pharmaceuticals, particularly in the preparation of steroid hormones.[12] For example, ethynylation of 17-ketosteroids produces important contraceptive medications known as progestins. Examples include drugs such as Norethisterone, Ethisterone, and Lynestrenol.[13] Hydrogenation of these compounds produces anabolic steroids with oral bioavailability, such as Norethandrolone.[14]
Alkynylation is used to prepare commodity chemicals such as propargyl alcohol,[1][15] butynediol, 2-methylbut-3-yn-2-ol (a precursor to isoprenes such as vitamin A), 3-hexyne-2,5-diol (a precursor to Furaneol),[16] and sulcatone (a precursor to Linalool).
Reaction conditions
For the stoichiometric reactions involving alkali metal or alkaline earth acetylides, work-up for the reaction requires liberation of the alcohol. To achieve this hydrolysis, aqueous acids are often employed.[6][17]
Common solvents for the reaction include ethers, acetals, dimethylformamide,[1] and dimethyl sulfoxide.[18]
Variations
Grignard reagents
Grignard reagents of acetylene or alkynes can be used to perform alkynylations on compounds that are liable to polymerization reactions via enolate intermediates. However, substituting lithium for sodium or potassium acetylides accomplishes similar results, often giving this route little advantage over the conventional reaction.[1]
Favorskii reaction
The Favorskii reaction is an alternative set of reaction conditions, which involves prereaction of the acetylene with an alkali metal hydroxide such as KOH.[1] The reaction proceeds through equilibria, making the reaction reversible:
To overcome this reversibility, the reaction often uses an excess of base to trap the water as hydrates.[1]
Reppe chemistry
Chemist Walter Reppe pioneered catalytic, industrial-scale ethynylations using acetylene with alkali metal and copper(I) acetylides:[1]
These reactions are used to manufacture propargyl alcohol and butynediol.[15] Alkali metal acetylides, which are often more effective for ketone additions, are used to produce 2-methyl-3-butyn-2-ol from acetylene and acetone.
See also
Alkyne coupling reactions
References
- 1 2 3 4 5 6 7 8 9 10 Viehe, Heinz Günter (1969). Chemistry of Acetylenes (1st ed.). New York: Marcel Dekker, inc. pp. 169& 207–241. doi:10.1002/ange.19720840843.
- ↑ Trost, B.M.; Li, C.-J. (2014). Modern Alkyne Chemistry: Catalytic and Atom‐Economic Transformations. Weinheim: Wiley VCH.
- 1 2 Wolfrom, Melville L. (1960). "John Ulric Nef: 1862—1915" (PDF). Biographical Memoirs (1st ed.). Washington, DC: National Academy of Sciences. p. 218. Retrieved 24 February 2016.
- ↑ Nef, John Ulric (1899). "Ueber das Phenylacetylen, seine Salze und seine Halogensubstitutionsproducte". Justus Liebigs Annalen der Chemie. 308 (3): 264–328. doi:10.1002/jlac.18993080303.
- ↑ Smith, Michael B.; March, Jerry (2007). "Chapter 16. Addition to Carbon–Hetero Multiple Bonds". March's Advanced Organic Chemistry: Reactions, Mechanisms, and Structure (6th ed.). Hoboken, New Jersey: John Wiley & Sons, Inc. pp. 1359–1360. doi:10.1002/9780470084960.ch16. ISBN 9780471720911.
- 1 2 Midland, M. Mark; Tramontano, Alfonso; Cable, John R. (1980). "Synthesis of alkyl 4-hydroxy-2-alkynoates". The Journal of Organic Chemistry. 45 (1): 28–29. doi:10.1021/jo01289a006.
- ↑ Jones, E. R. H.; Eglinton, Geoffrey; Whiting, M. C.; Shaw, B. L. (1954). "Ethoxyacetylene". Organic Syntheses. 34: 46. doi:10.15227/orgsyn.034.0046.
- 1 2 Wang, Zerong, ed. (2009). "Arens–Van Dorp Reaction (Isler Modification)". Comprehensive Organic Name Reactions and Reagents (1st ed.). Hoboken, NJ: Wiley-Interscience. doi:10.1002/9780470638859.conrr023. ISBN 9780471704508.
- ↑ Van Dorp, D. A.; Arens, J. F. (1947). "Synthesis of Vitamin A Aldehyde-". Nature. 160 (4058): 189. Bibcode:1947Natur.160..189V. doi:10.1038/160189a0. PMID 20256189. S2CID 4137483.
- ↑ Trost, Barry M.; Weiss, Andrew H. (2009). "The enantioselective addition of alkyne nucleophiles to carbonyl groups". Advanced Synthesis & Catalysis. 351 (7–8): 963–983. doi:10.1002/adsc.200800776. PMC 3864370. PMID 24353484.
- ↑ Li, C.-J. (2010). "The development of catalytic nucleophilic additions of terminal alkynes in water". Acc. Chem. Res. 43 (4): 581–590. doi:10.1021/ar9002587. PMID 20095650.
- ↑ Sandow, Jürgen; Scheiffele, Ekkehard; Haring, Michael; Neef, Günter; Prezewowsky, Klaus; Stache, Ulrich (2000). "Hormones". Ullmann's Encyclopedia of Industrial Chemistry. doi:10.1002/14356007.a13_089. ISBN 3527306730.
- ↑ Sondheimer, Franz; Rosenkranz, G.; Miramontes, L.; Djerassi, Carl (1954). "Steroids. LIV. Synthesis of 19-Nor-17α-ethynyltestosterone and 19-Nor-17α-methyltestosterone". Journal of the American Chemical Society. 76 (16): 4092–4094. doi:10.1021/ja01645a010.
- ↑ Hershberg, E. B.; Oliveto, Eugene P.; Gerold, Corinne; Johnson, Lois (1951). "Selective Reduction and Hydrogenation of Unsaturated Steroids". Journal of the American Chemical Society. 73 (11): 5073–5076. doi:10.1021/ja01155a015.
- 1 2 Pässler, Peter; Hefner, Werner; Buckl, Klaus; Meinass, Helmut; Meiswinkel, Andreas; Wernicke, Hans-Jürgen; Ebersberg, Günter; Müller, Richard; Bässler, Jürgen; Behringer, Hartmut; Mayer, Dieter (2008). "Acetylene". Ullmann's Encyclopedia of Industrial Chemistry. doi:10.1002/14356007.a01_097.pub3. ISBN 978-3527306732.
- ↑ Fahlbusch, Karl-Georg; Hammerschmidt, Franz-Josef; Panten, Johannes; Pickenhagen, Wilhelm; Schatkowski, Dietmar; Bauer, Kurt; Garbe, Dorothea; Surburg, Horst (2003). "Flavors and Fragrances". Ullmann's Encyclopedia of Industrial Chemistry. doi:10.1002/14356007.a11_141. ISBN 3527306730.
- ↑ Coffman, Donald D. (1940). "Dimethylethhynylcarbinol". Organic Syntheses. 40: 20. doi:10.15227/orgsyn.020.0040.
- ↑ Sobenina, L. N.; Tomilin, D. N.; Petrova, O. V.; Mikhaleva, A. I.; Trofimov, B. A. (2013). "Synthesis of secondary propargyl alcohols from aromatic and heteroaromatic aldehydes and acetylene in the system KOH-H2O-DMSO". Russian Journal of Organic Chemistry. 49 (3): 356–359. doi:10.1134/S107042801303007X. S2CID 94135082.
