Baker–Venkataraman rearrangement
The Baker–Venkataraman rearrangement is the chemical reaction of 2-acetoxyacetophenones with base to form 1,3-diketones.[1][2]

This rearrangement reaction proceeds via enolate formation followed by acyl transfer. It is named after the scientists Wilson Baker and K. Venkataraman.
The Baker–Venkataraman rearrangement is often used in the synthesis of chromones and flavones.[3][4][5][6][7][8][9][10] After the base-catalyzed rearrangement, treatment with acid generally affords the chromone or flavone core, though other milder methods have been reported.[11]
Mechanism
A base abstracts the hydrogen atom alpha to the aromatic ketone, forming an enolate. Then, the enolate attacks the ester carbonyl to form a cyclic alkoxide. The cyclic intermediate is opened up to form a more stable phenolate, which is protonated during acidic work-up to give the desired product.

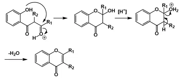
To complete the construction of the chromone or flavone core, cyclodehydration is required. This was commonly afforded by treatment with strong acid, however many milder conditions have now been developed. One proposed mechanism for this dehydration is as follows:
The cyclodehydration following the Baker-Venkataraman rearrangment on treatment with acid.
See also
References
- ↑ Baker, W. (1933). "Molecular rearrangement of some o-acyloxyacetophenones and the mechanism of the production of 3-acylchromones". J. Chem. Soc.: 1381–1389. doi:10.1039/JR9330001381.
- ↑ Mahal, H. S.; Venkataraman, K. (1934). "Synthetical experiments in the chromone. group. XIV. Action of sodamide on 1-acyloxy-2-acetonaphthones". J. Chem. Soc.: 1767–1769. doi:10.1039/JR9340001767.
- ↑ Wheeler, T. S. (1952). "Flavone". Organic Syntheses. 32: 72. doi:10.15227/orgsyn.032.0072. (also in the Collective Volume (1963) 4: 478 (PDF)).
- ↑ Jain, P. K.; Makrandi, J. K. (1982). "A Facile Baker-Venkataraman Synthesis of Flavones using Phase Transfer Catalysis". Synthesis. 1982 (3): 221–222. doi:10.1055/s-1982-29755.
- ↑ Kalinin, A. V.; Da Silva, A. J. M.; Lopes, C. C.; Lopes, R. S. C.; Snieckus, V. (1998). "Directed ortho metalation – cross coupling links. Carbamoyl rendition of the Baker-Venkataraman rearrangement. Regiospecific route to substituted 4-hydroxycoumarins". Tetrahedron Letters. 39 (28): 4995–4998. doi:10.1016/S0040-4039(98)00977-0.
- ↑ Kraus, G. A.; Fulton, B. S.; Wood, S.H. (1984). "Aliphatic acyl transfer in the Baker-Venkataraman reaction". J. Org. Chem. 49 (17): 3212–3214. doi:10.1021/jo00191a033.
- ↑ Reddy, B.P.; Krupadanam, G.L.D. (1996). "The synthesis of 8-allyl-2-styrylchromones by the modified baker-venkataraman transformation". J. Heterocycl. Chem. 33 (6): 1561. doi:10.1002/jhet.5570330602.
- ↑ Kalinin, A.V.; Sneckus, V. (1998). "4,6-Dimethoxy-3,7-dimethylcoumarin from Colchicum decaisnei. Total synthesis by carbamoyl Baker-Venkataraman rearrangement and structural revision to isoeugenetin methyl ether". Tetrahedron Lett. 39 (28): 4999. doi:10.1016/S0040-4039(98)00978-2.
- ↑ Thasana, N.; Ruchirawat, S. (2002). "The application of the Baker–Venkataraman rearrangement to the synthesis of benz[b]indeno[2,1-e]pyran-10,11-dione". Tetrahedron Lett. 43 (25): 4515. doi:10.1016/S0040-4039(02)00818-3.
- ↑ Santos, C.M.M.; Silva, A.M.S.; Cavaleiro, J.A.S. (2003). "Synthesis of New Hydroxy-2-styrylchromones". Eur. J. Org. Chem. 2003 (23): 4575. doi:10.1002/ejoc.200300468. hdl:10198/3932.
- ↑ Santos, Clementina M.; Silva, Artur M. S. (2017). "An Overview of 2-Styrylchromones: Natural Occurrence,Synthesis, Reactivity and Biological Properties". Eur. J. Org. Chem. 2017 (22): 3115–3133. doi:10.1002/ejoc.201700003. hdl:10198/14517 – via Reaxys.