I want the equation number to be shown only at the last line, or better, somewhere in the middle of all. So instead of (1), (2), ... only (1).
I use \begin{align} ... \end{align}
- 12,872
- 2,983
-
2possible duplicate of How to get only one vertically centered equation number in align environment with two equations – Jukka Suomela May 06 '11 at 13:00
4 Answers
Use \nonumber to do so:
\begin{align}
a & b \nonumber \\ % no number is shown
c & d \\ % there is a number
e & f \nonumber % no number
\end{align}
-
31
-
2@Cm7F7Bb not sure if this is what you mean, but you can use
\nonumberin an align environment with only two lines. Only the line without\nonumberending it will have number in the output – Skeleton Bow Aug 18 '20 at 19:47 -
6@SkeletonBow - They presumably mean "how can I get the equation number vertically centered if there are only two lines (or any even number of lines)?". The split environment does this (but doesn't work with multiple alignment columns), but \nonumber does not. – Nathaniel Johnston Jul 06 '21 at 13:58
-
It looks like
\nonumberdoesn't work within the\added{}command from thechangespackage. – Paul Wintz Oct 11 '21 at 02:06
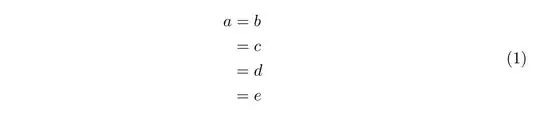
You can use the split environment from the amsmath package:
\documentclass{article}
\usepackage{amsmath}
\begin{document}
\begin{align}
\begin{split}
a &= b \
&=c \
&=d \
&=e
\end{split}
\end{align}
\end{document}
- 198,882
- 505,128
-
137you could also simply put
\nonumberat the end of each equation line for which you don't want an equation no. – prettygully May 06 '11 at 01:44 -
4You could also see this question: http://tex.stackexchange.com/questions/13396/how-to-get-only-one-vertically-centered-equation-number-in-align-environment-with/17483#17483 – Ryan Reich May 06 '11 at 02:04
-
32@prettygully: if the number of lines is even, then
\notag(or\nonumber) won't vertically center the tag. – Gonzalo Medina May 06 '11 at 02:06 -
2@prettygully: I think you should also write your comment as an answer. @Gonzalo Medina: sometimes you want the number at the end, rather than centered; I often do so. (While the OP prefers centered, not everyone will.) – Niel de Beaudrap May 06 '11 at 12:17
-
8is there a simple way to adapt this solution for multiple alignment columns? It looks like
\begin{align*}\begin{split} A &= B & C&= D \\ A &= B & C&= D \end{split}\end{align*}doesn't work. – phfaist Aug 14 '20 at 14:24
You can use the aligned environment from the amsmath package:
\documentclass{article}
\usepackage{amsmath}
\begin{document}
\begin{gather}
\begin{split}
m &=n \
&=o \
&=p \
&=q
\end{split}\
\begin{aligned}
a &=b + 1 \
c &=d \
e &=f \
g &=h
\end{aligned}
\end{gather}
\end{document}
This is generally recommended for straightforward expressions rather than embedding a sub-structure within align. See the user's manual for amsmath (amsldoc.pdf on ctan or type texdoc amsmath if you have a tex live installation).
Edit: changed equation environment to gather to allow multiple sub-structures, and added an example of split as requested. Since single letters on either side of the equals sign will give the illusion that everything is aligned, I lengthened one line to show that the alignments of the two sub-structures are really offset from one another.
This result will get two equation numbers; either may be removed by use of \notag, but the positioning will not be optimal. Sadly, I don't have a solution for that.
- 198,882
- 88,848
-
4Mildly ironic that in an answer to a question on alignment, you had an error in your code alignment! A case of misalliance (in tribute to Britain's answer to Tom Lehrer). – Andrew Stacey May 06 '11 at 12:48
-
I think this is the right answer, but with the wrong example. To typeset a multi-line equation such as a = b = c = d = e, you should not use anything from the align family, but something like split. Could you perhaps change the example so that it is something like "a = b, c = d, e = f, g = h", so that it is clearly multiple equations that you want to align. This is not just semantics; there might be a difference in the vertical spacing, and you should use the right command for the right purpose. – Jukka Suomela May 06 '11 at 12:59
-
This is exactly what I was looking for, something that has the nice symmetric labelling of
splitbut also supports multiple columns likealign. – Aditya Sriram Jun 27 '19 at 18:18
I realize this question is now quite old, but I've found wrapping the nested equation/aligned in an environment handy since I want single numbers for multi-line equations quite a bit. One hitch is that LaTeX will add a space to the next line unless you do something about it. Here's an nalign environment that is like align but with one (centered) equation number for all the lines.
\newenvironment{nalign}{
\begin{equation}
\begin{aligned}
}{
\end{aligned}
\end{equation}
\ignorespacesafterend
}
- 446


