Hi all,
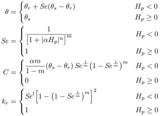
I want to write my equation which is like the attached picture. I tried to write this code below but I couldn't make "Hp" starting from the same positions.
How should I write code to have the picture like this.
\begin{eqnarray} \label{eq:5}
Se & = & \left\{
\begin{array}{ll}
\frac{1}{{[1+|\alpha H_{p}|^{n}]}^{m}} & \quad H_{p}<0\\
1 & \quad H_{p} \geq0
\end{array}
\right. \nonumber
\\
\theta & = & \left\{
\begin{array}{ll}
\theta_{r}+Se(\theta_{s}-\theta_{r}) & \quad H_{p}<0\\
\theta_{s} & \quad H_{p} \geq0
\end{array}
\right.
\\
C & = & \left\{
\begin{array}{ll}
\frac{\alpha m}{1-m}(\theta_{s}-\theta_{r})Se^{\frac{1}{m}}\left(1-Se^{\frac{1}{m}}\right)^{m} & \quad H_{p}<0\\
0 & \quad H_{p} \geq0
\end{array}
\right. \nonumber
\\
k_{r} & = & \left\{
\begin{array}{ll}
Se^{l}\left[1-\left(1-Se^{\frac{1}{m}}\right)^{m} \right]^2 & \quad H_{p}<0\\
1 & \quad H_{p} \geq0
\end{array}
\right. \nonumber
\end{eqnarray}





align*withaligned, and then wrap it in anequationenvironment, so you have\begin{equation}\begin{aligned} <all the four equations> \end{aligned}\end{equation}. – Torbjørn T. Mar 17 '16 at 13:01\phantomswouldn't it be easier (nad easier to understand) if you just wrapped the 1's and 0's in\mathmakeboxfor some common width? – daleif Mar 17 '16 at 13:27\begin{align}should be enough. Noequationoralignedneeded. Oh, got it wrong, just one number? Then usesplit. See my link above. @daleif. Sure, would be easier to read. But like this now we have the minimum required width and consistent spacing betweendcasescolumns. Maybe there are more cases later in the document that's why I prefer the 'perfect' spacing. – LaRiFaRi Mar 17 '16 at 13:36Seis meant as one variable. So I was thinking about something like here: http://tex.stackexchange.com/q/129397 – LaRiFaRi Mar 17 '16 at 13:38\bigland\bigrwould suffice. then, the brackets in the last part could also be a size smaller. – barbara beeton Mar 17 '16 at 13:57