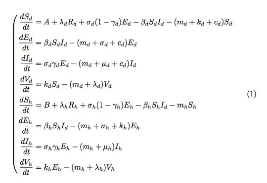
How can I add the big bracket at the side of my equations, just like in the photo?
Below is my code for the equations.
\begin{align}
\frac{dS_d}{dt}&= A + \lambda_dR_d + \sigma_d(1-\gamma_d)E_d -\beta_dS_dI_d- (m_d+k_d+c_d)S_d \nonumber \\
\frac{dE_d}{dt}&= \beta_dS_dI_d -(m_d+\sigma_d+c_d)E_d \nonumber \\
\frac{dI_d}{dt}&= \sigma_d\gamma_dE_d -(m_d+\mu_d+c_d)I_d \nonumber \\
\frac{dV_d}{dt}&= k_dS_d -(m_d+\lambda_d)V_d \nonumber \\
\frac{dS_h}{dt}&= B + \lambda_hR_h + \sigma_h(1-\gamma_h)E_h -\beta_hS_hI_d- m_hS_h \\
\frac{dE_h}{dt}&= \beta_hS_hI_d -(m_h+\sigma_h+k_h)E_h \nonumber \\
\frac{dI_h}{dt}&= \sigma_h\gamma_hE_h -(m_h+\mu_h)I_h \nonumber \\
\frac{dV_h}{dt}&= k_hE_h -(m_h+\lambda_h)V_h \nonumber \\
\end{align}






