This is very late but it seems lots of people looked at this question. In general, for simple questions like this, asking the help desk (F1F1) should be best. They respond within a minute or 2 usually, and you should expect someone to guide you to these VOL fields in less than 30 minutes for sure.
I checked 330 HK as well as 3800HK and both have data available on HVT and the API matches. For example, =BDH("3800 HK Equity","VOLATILITY_90D", "20200505","20200927","sort=d")
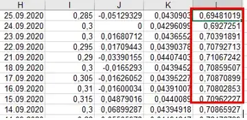
gives

which is identical to HVT

You have a choice of several models in the overrides (click on the name of the override to see details). The models itself are explained in the white paper on HVT. It is not computed with opening and closing ticks as the question suggests but purely with the history of closing prices. Sticking to the 3800 HK example, and teh default model, this is quick to replicate. You fetch the price history (just what HP shows) with =BDH("3800 HK Equity","PX_LAST", "20200505","20200927","sort=d"), compute the log return via $=LN(P_t/P_{t-1}$), calculate the sample standard deviation over the desired period (excel function STDEV.S - for 90 days, you need to use J1-J89 in the screenshot below) and multiple the result by the square root of the annualization factor (260 by default).

That is it, apart for a rule that Bloomberg uses to not display values if a certain number of data points is missing for the calculation (I think >90% is required).
VOLATILITY_90D(you also have 10D, 30D, 120D, 260D, 360D etc) orINTERVAL_VOLATILITYwith overrides for specific periods. – assylias Feb 05 '16 at 18:38Is this documented somewhere? I have looked at the Bloomberg API developer's guide and unless I went over too quickly these values are missing.
– hoonzis Feb 07 '16 at 09:51CL 3M 50D VOL BVOL Comdty(for CL, for example) as a ticker and then just getPX_LASTto access points on the vol surface as if they're underlying. – will Jan 07 '18 at 15:13