2

I am struggling with this question below.

Present Value = 100000

Interest =12.25% per annum

Number of months = 60

Payments =?

Payments increase by 15% per annum.

Calculate the PMT for all years.

Diketso
  • 21
  • 2

1 Answers1

3

A method of calculation is shown here:-

Investopedia - Calculating The Present And Future Value Of Annuities

Specifically, the section: Calculating the Present Value of an Ordinary Annuity.

The example shown calculates the present (or initial) value of a 5 year loan given annual payments of $1,000 with an effective interest rate of 5%. By discounting the future payments according to the interest rate the present value is calculated to be $4,329.48.

enter image description here

In your question the initial value is known and the payments are to be calculated.

p = initial loan value = 100,000
n = compounding periods per year = 12
r = effective annual interest rate = 12.25% = 0.1225
i = monthly interest rate = (1 + r)^(1/n) - 1 = 0.00967638
d = initial payment amount

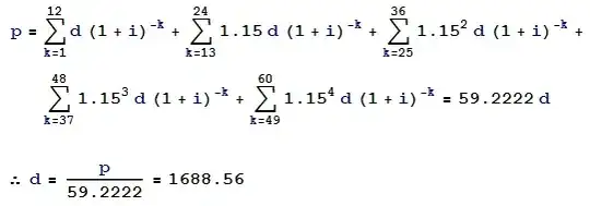
The present value of the loan is equal to the sum of the discounted payments for each year.

enter image description here

The payments for the first year are 1,688.56 increasing annually by 15% thereafter.

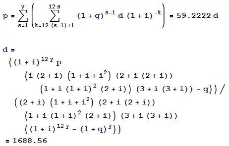
The calculation can also be generalised and converted into a formula for d.

y = number of years = 5
q = annual percentage increase in payments = 15% = 0.15

enter image description here

Text form

d = ((1 + i)^(12 * y) * p * 
    (i * (2 + i) * (1 + i + i^2) * (2 + i * (2 + i)) * 
       (1 + i * (1 + i)^2 * (2 + i)) * (3 + i * (3 + i)) - q))/
  ((2 + i) * (1 + i + i^2) * (2 + i * (2 + i)) * 
    (1 + i * (1 + i)^2 * (2 + i)) * (3 + i * (3 + i)) * 
    ((1 + i)^(12 y) - (1 + q)^y))
Chris Degnen
  • 9,797
  • 1
  • 20
  • 36