It appears you are paying about 12.5% of your current salary of $56,000 in order to average payments of $700 per month over the next seven years, assuming an annual salary increase of 6%. E.g.
56000 / 12 * 0.125 = 583.33
Increasing by 6%
583.33 618.33 655.43 694.76 736.45 780.63 827.469
average over seven years = $699.49
Here is a calculation of the present value of a loan, assuming constant annual salary increases of 6%. It is based on a more fully explained answer here: Unequal Loan Repayments.
This is how the repayments increase in the calculation.

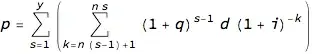
The present value calculation is based on this double summation:

p = present value of loan
n = compounding periods per year = 12
r = nominal APR compounded monthly = 6 % = 0.06
i = monthly interest rate = r/n = 0.005
d = initial payment amount = $583.33
y = number of years = 7
q = annual percentage increase in payments = 6 % = 0.06
By induction
p = (d (1 + i)^(-n y) ((1 + i)^n - 1) ((1 + i)^(n y) - (1 + q)^y))/
(i ((1 + i)^n - q - 1))
∴ p = $47,219.40
So in seven years you will have paid down a portion of the current value of your debt worth $47,219.40.
It appears $91,000 was the initial loan value three years ago. However, if your current debt is $91,000 you are set to pay $47,219.40 of it, in today's value.
91000 - 47219.4 = 43780.6
$43,780.60 would remain, which in 7 years would accumulate due to interest.
43780.6 (1 + i)^(n y) = 43780.6 (1 + 0.005)^84 = $66,562.70
So in seven years the benefit program would be taking a debt of $66,562.70 off your hands.
If you got another job today you would have to be $66,562.70 better off in seven years to break even. Or if was the same salary but they gave you a golden hello of $43,780.60 which you put towards your debt you would also break even.
Of course, if your current debt is not $91,000 but lower, put in the actual balance to find the break-even value.