Chinolină
| Chinolină [1] | |
![]() | |
![]() | |
![]() | |
| Denumiri | |
|---|---|
| Nume IUPAC | Chinolină 2-azabiciclo[4.4.0]deca-1,3,5,7,9-pentaenă |
| Alte denumiri | 1-azanapftalenă benzo[b]piridină 1-benzazină benzazină benzazabenzen benzopiridină leucol leucolină |
| Identificare | |
| Număr CAS | 91-22-5 |
| ChEMBL | CHEMBL14474 |
| PubChem CID | 7047 |
| Informații generale | |
| Formulă chimică | C9H7N |
| Aspect | lichid uleios galben |
| Masă molară | 129,16 g/mol |
| Proprietăți | |
| Densitate | 1,093 g/mL |
| Starea de agregare | lichid |
| Punct de topire | −15 °C |
| Punct de fierbere | 237 °C (760 mmHg) |
| Solubilitate | în apă: greu solubil; solubil în: alcool, eter și CS2 |
| Aciditate (pKa) | 4,85 [2] |
| Temperatură de aprindere | 105 °C |
| Fraze R | R21/22, R38, R41 |
| Fraze S | S26, S36/37/39 |
| NFPA 704 | |
2
3
0
| |
| Sunt folosite unitățile SI și condițiile de temperatură și presiune normale dacă nu s-a specificat altfel. | |
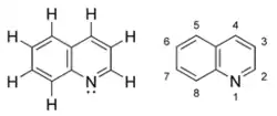
Chinolina este un compus organic heterociclic cu formula chimică C9H7N. Este un lichid incolor higroscopic cu un miros puternic.
Chinolina este greu solubilă în apă rece, dar se dizolvă ușor în apă fierbinte și în majoritatea solvenților organici. Din punct de vedere structural, chinolina este formată prin fuzionarea unor nuclee aromatice de benzen și unul de piridină.
Derivații chinolinei au aplicații practice diverse; un exemplu este chinina, care se formează în natură în plante, sub formă de alcaloizi. 4-hidroxi-2-alchilchinolinele sunt implicate în rezistența la antibiotice.
Sinteză
Chinolinele pot fi sintetizate pornind de la aniline simple, prin diverse reacții (metoda Skraup[3], metoda Conrad-Limpach, etc):
Vezi și
Referințe
- ↑ en Date despre chinolină Accesat pe 16 aprilie 2014
- ↑ Brown, H.C., et al., in Baude, E.A. and Nachod, F.C., Determination of Organic Structures by Physical Methods, Academic Press, New York, 1955.
- ↑ Nenițescu, p. 699-700
Bibliografie
- C. D. Nenițescu, Chimie Organică, vol. II, ediția a VIII-a, Editura Didactică și Pedagogică, 1980
Legături externe
Acest articol este emis de la Wikipedia. Textul este licențiat sub Creative Commons - Attribution - Sharealike. Se pot aplica termeni suplimentari pentru fișierele media.




