Sinteză monotopă
În chimie, sinteza monotopă sau sinteza one-pot[1] este o sinteză chimică în care un reactiv suferă mai multe reacții succesive și/sau simultane într-un singur amestec de reacție (un singur reactor, de exemplu), evitând astfel procesele lungi de separare și purificare a compușilor intermediari. Acest tip de reacție este utilizat des și preferat de către chimiști, deoarece le permite să economisească timp și să crească randamentul chimic total. Procesul prin care o sinteză cu mai multe etape este redusă la o sinteză monotopă se numește telescopare.
Un exemplu de sinteză monotopă este sinteza totală a tropinonei sau sinteza Gassman a indolului.
O sinteză monotopă secvențială este o sinteză în care reactivii sunt adăugați în etape, unul câte unul, fără separare intermediară.
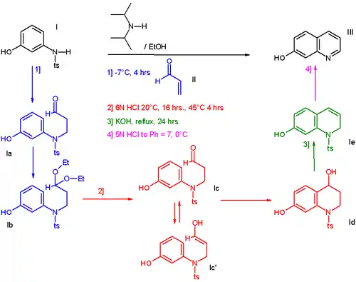
Într-o sinteză de acest tip[2], reacția 3-N-tosilaminofenolului I cu acroleina II produce hidroxichinolină III prin 4 etape secvențiale, fără separarea intermediarilor[3].

Referințe
- În engleză, literalmente: o sinteză într-un singur recipient
- One-Pot Preparation of 7-Hydroxyquinoline, Mark Cameron, R. Scott Hoerrner, James M. McNamara, Margaret Figus, and Scott Thomas; Org. Process Res. Dev., 2006, 10(1), pp. 149-152.
- L'addition de l'acroléine (en bleu) est une réaction de Michael catalysée par la [[{{{2}}}|N,N-diisopropylamine]](en)[traduceți]. La présence d'Éthanol permet la conversion de l'Aldéhyde en Acétal (1b) mais cette réaction est inversée quand de l'Acide chlorhydrique est ajouté au Milieu réactionnel(d) (en rouge). L'Énolate réagit comme un Électrophile dans une Réaction de Friedel-Crafts avec fermeture de cycle. Le groupe alcool est éliminé en présence d'Hydroxyde de potassium via une déshydratation (en vert) et quand dans l'étape finale, le milieu est neutralisé à pH 7 (en rose), le groupe tosyl(d) est aussi éliminé.