Reacție Pfitzinger
Reacția Pfitzinger (cunoscută și ca reacția Pfitzinger-Borsche) este o reacție organică ce are loc între isatină, o bază și un compus carbonilic, obținându-se un acid chinolin-4-carboxilic:[1][2]

Reacția Pfitzinger
Mecanism de reacție
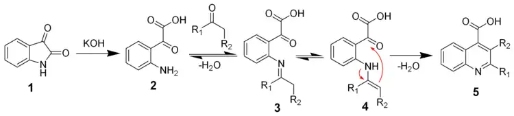
Reacția dintre isatină (1) și o bază (precum este hidroxidul de potasiu) hidrolizează legătura amidică cu obținerea unui cetoacid 2. Acest intermediar derivat de anilină poate fi izolat; prin reacția sa cu o aldehidă sau o cetonă se obține o imină (3) și o enamină (4). Enamina se ciclizează, iar prin deshidratare formează derivatul chinolin-4-carboxilic (5):

Mecanismul reacției Pfitzinger
Variante
Note
- Pfitzinger, W. (). „Chinolinderivate aus Isatinsäure”. J. Prakt. Chem. (în germană). 33 (1): 100. doi:10.1002/prac.18850330110.
- Pfitzinger, W. (). „Chinolinderivate aus Isatinsäure”. J. Prakt. Chem. (în germană). 38 (1): 582–584. doi:10.1002/prac.18880380138.
- Manske, R. H. (). „The Chemistry of Quinolines”. Chem. Rev. 30 (1): 113–144. doi:10.1021/cr60095a006.
- Bergstrom, F. W. (). „Heterocyclic Nitrogen Compounds. Part IIA. Hexacyclic Compounds: Pyridine, Quinoline, and Isoquinoline”. Chem. Rev. 35 (2): 77–277. doi:10.1021/cr60111a001.
- Shvekhgeimer, M. G.-A. (). „The Pfitzinger Reaction”. Chem. Heterocycl. Compd. 40 (3): 257–294. doi:10.1023/B:COHC.0000028623.41308.e5.)
- Halberkann, J. (). „Abkömmlinge der Chininsäure”. Chem. Ber. (în germană). 54 (11): 3090–3107. doi:10.1002/cber.19210541118.
Vezi și
- Reacție Conrad-Limpach
- Reacție Doebner
- Reacție Doebner-Miller
- Sinteza Combes (a chinolinei)
This article is issued from Wikipedia. The text is licensed under Creative Commons - Attribution - Sharealike. Additional terms may apply for the media files.
