Reacție Doebner
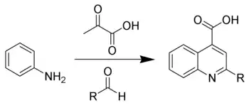
Reacția Doebner este o reacție organică ce are loc între anilină, o anumită aldehidă și acid piruvic, în urma ei obținându-se un acid chinolin-4-carboxilic:[1][2]

Reacția este o metodă alternativă pentru reacția Pfitzinger.[3][4]
Mecanism de reacție
În continuare sunt prezentate două mecanisme de reacție posibile. Primul este o reacție de condensare aldolică ce pornește cu tautomerul enolic al acidului piruvic (1) și cu aldehida, cele două formând un acid α-cetocarboxilic-β,γ-nesaturat (2). Această etapă este urmată de o adiție Michael a anilinei formând un derivat (3). După etapa de ciclizare se obține acidului chinolin-4-carboxilic (4) cu eliminare de apă:[5]

Un al doilea mecanism se bazează pe formarea unei baze Schiff dintre anilină și aldehidă, cu eliminare de apă. Aceasta reacționează cu tautomerul enolic al acidului piruvic (1) formând același derivat al anilinei (3), iar apoi mecanismul este identic cu cel de mai sus:[5]

Note
- Doebner, O. Ann. 1887, 242 & 265.
- Bergstrom, F. W. Chem. Rev. 1944, 35, 156. (Review)
- W. Pfitzinger: Chinolinderivate aus Isatinsäure. In: Journal für Praktische Chemie. Band 33, Nr. 1, 1886, S. 100, doi:10.1002/prac.18850330110.
- Oscar Doebner: Ueber α-Alkylcinchoninsäuren und α-Alkylchinoline. In: Justus Liebigs Annalen der Chemie. Band 242, Nr. 3, 1887, S. 265–388, doi:10.1002/jlac.18872420302.
- Daniel Zerong Wang (), Comprehensive Organic Name Reactions and Reagents, 1, John Wiley & Sons, Inc., Hoboken, New Jersey: John Wiley & Sons, Inc., pp. 921–923, doi:10.1002/9780470638859.conrr197, ISBN 978-0-471-70450-8
Vezi și
- Condensare Knoevenagel
- Reacție Pfitzinger
- Reacție Conrad-Limpach
- Reacție Doebner-Miller
- Sinteza Combes (a chinolinei)