Condensare Knoevenagel
Condensarea Knoevenagel (Pronunție în germană: /ˈknøːvənaːɡl̩/) este o reacție organică de condensare, denumită după Emil Knoevenagel. Este o variantă modificată a reacției de condensare aldolică.[1][2]
Reacția de condensare Knoevenagel are loc printr-o adiție nucleofilă a unui compus cu „metilen activ” la o grupă carbonil, urmată de o reacție de deshidratare prin eliminarea unei molecule de apă. Produsul este adesea o cetonă α,β-nesaturată (un sistem conjugat de tip enonă).

În această reacție, grupa carbonil poate fi regăsită într-o aldehidă sau o cetonă. Se folosesc de obicei catalizatori baze slabe, precum sunt unele amine (uneori chiar heterociclice, de tipul piridină sau piperidină). Compusul cu metilen activ poate avea următoarele forme:[3]
- Z–CH2-Z sau Z–CHR–Z, de exemplu în esteri precum malonat, acetilacetat de etil, ester cianacetic sau chiar acid malonic sau acid cianacetic.[4]
- Z–CHR1R2, de exemplu nitrometan.
- unde Z este o grupă funcțională donoare de electroni destul de puternică pentru a facilita deprotonarea ionului enolat, chiar și dacă se folosesc baze slabe. Bazele tari nu se pot folosi în această reacție deoarece mecanismul ar evolua sub forma unei autocondensări de tip aldolic.
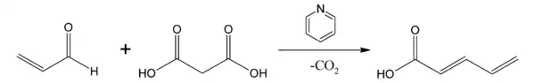
Reacția Knoevenagel-Doebner

Cu acidul malonic și cu esterii malonici, se obțin produși de reacție care se pot ulterior monodecarboxila (prin eliminarea de dioxid de carbon). Reacția se numește condensare Knoevenagel-Doebner și se face în mediu de piridină.[5] În imagine este prezentată reacția dintre acroleină și acid malonic, când se obține acidul trans-2,4-pentadienoic. Se poate observa că a avut loc și o reacție de decarboxilare.[6] În mod analog se poate obține acid cinamic prin condensarea Knoevenagel-Doebner dintre acidul malonic și benzaldehidă.
Vezi și
Referințe
- Jones, G. Org. React. 1967, 15.
- Emil Knoevenagel (). „Condensation von Malonsäure mit aromatischen Aldehyden durch Ammoniak und Amine” [Condensation of malonic acid with aromatic aldehydes via ammonia and amines]. Berichte der deutschen chemischen Gesellschaft. 31 (3): 2596–2619. doi:10.1002/cber.18980310308.
- March, Jerry (1985), Advanced Organic Chemistry: Reactions, Mechanisms, and Structure (3rd ed.), New York: Wiley, ISBN 0-471-85472-7
- G. Jones (). „The Knoevenagel Condensation”. Organic Reactions. doi:10.1002/0471264180.or015.02.
- O. Doebner (). „Ueber die der Sorbinsäure homologen, ungesättigten Säuren mit zwei Doppelbindungen”. Berichte der deutschen chemischen Gesellschaft. 35: 1136–36. doi:10.1002/cber.190203501187.
- Peter J. Jessup, C. Bruce Petty, Jan Roos, and Larry E. Overman (), „1-N-Acylamino-1,3-dienes from 2,4-pentadienoic acids by the curtius rearrangement: benzyl trans-1,3-butadiene-1-carbamate”, Org. Synth.; Collective Volume, 6, p. 95