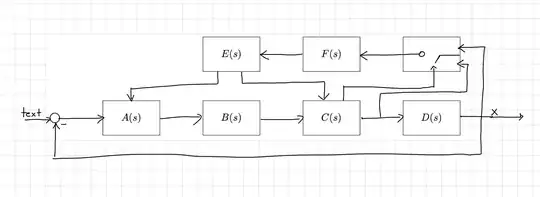
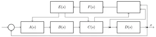
I would like to draw this block diagram, but I'm having problems with all arrows and this last block in the first row. Can someone help me?
Here is what I have right now.
\documentclass[border=0.2cm]{standalone}
% More defined colors
\usepackage[dvipsnames]{xcolor}
% Required package
\usepackage{tikz}
\usetikzlibrary{arrows,shapes,backgrounds,patterns,fadings,matrix,arrows,calc,
intersections,decorations.markings,
positioning,external,arrows.meta}
\tikzset{
block/.style = {draw, rectangle,
minimum height=1cm,
minimum width=2cm},
input/.style = {coordinate,node distance=1cm},
output/.style = {coordinate,node distance=6cm},
arrow/.style={draw, -latex,node distance=2cm},
pinstyle/.style = {pin edge={latex-, black,node distance=2cm}},
sum/.style = {draw, circle, node distance=1cm},
}
\begin{document}
\begin{tikzpicture}
\node[input, name=input] {};
\node[sum, right=2cm of input, line width=0.25mm,] (sum) {};
\node [draw,
minimum width=2cm,
minimum height=1.2cm,
right=1.5cm of sum
] (controller) {$A(s)$};
\node [draw,
minimum width=2cm,
minimum height=1.2cm,
right=1.5cm of controller
] (system1) {$B(s)$};
\node [draw,
minimum width=2cm,
minimum height=1.2cm,
right=1.5cm of system1
] (system) {$C(s)$};
\node [draw,
minimum width=2cm,
minimum height=1.2cm,
right=1.5cm of system
] (system3) {$D(s)$};
\node [draw,
minimum width=2cm,
minimum height=1.2cm,
above = 1cm of system1
] (sensor) {$E(s)$};
\node [draw,
minimum width=2cm,
minimum height=1.2cm,
above = 1cm of system
] (sensor) {$F(s)$};
\node [draw,
minimum width=2cm,
minimum height=1.2cm,
above = 1cm of system3
] (sensor3) {};
\draw[-stealth] (controller.east) -- (system1.west) node[midway,above]{$x$};
\draw[-stealth] (system1.east) -- (system.west) node[midway,above]{$x$};
\draw[-stealth] (system1.east) -- (system.west) node[midway,above]{$x$};
\draw[-stealth] (system.east) -- (system3.west) node[midway,above]{$x$};
\end{tikzpicture}
\end{document}



tikz-extwhich define among other libraries also one used in my answer. If you not have instaled it, install it by utility of your LaTeX installation (in my case I use MiKTeX console). – Zarko Aug 16 '23 at 10:29