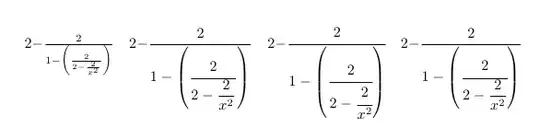
Have a look at the following code:
\documentclass[letterpaper]{article}
\usepackage{amsmath,amssymb}
\begin{document}
$2-\frac{2}{1-\left(\frac{2}{2-\frac{2}{x^2}}\right)}$\quad
$2-\dfrac{2}{1-\left(\dfrac{2}{2-\dfrac{2}{x^2}}\right)}$\quad
$2-\cfrac{2}{1-\left(\cfrac{2}{2-\cfrac{2}{x^2}}\right)}$\quad
$2-\dfrac{2}{1-\left(\cfrac{2}{2-\dfrac{2}{x^2}}\right)}$
\end{document}
This gives:

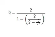
Evidently, the first display is not the proper way. The second and last are the same I guess. The third has a better display but there is too much space above the 2 in \left(\cfrac{2}{2-\cfrac{2}{x^2}}\right). Essentially, non of the above displays satisfies, for me, a good Mathematical typsetting. Although, it may be argued that it is the default in LaTeX. I just can't get it right? Any insights? In a book I got this example from it looks like this without the excessive bold (this is a scanned image):









\left(\frac{2}{2-\frac{2}{x^2}}\right)looks to compressed. Isn't it? – azetina Jun 13 '12 at 20:00:)– egreg Jun 13 '12 at 20:25$\displaystyle 2-\frac{2}{1-\left(\displaystyle\frac{2}{2-\frac{2}{x^2}}\right)}$– JohnReed Jun 13 '12 at 20:27