With the \scaleleftright[max_width]{left-delim}{term}{right-delim} macro from the scalerel package, symmetry of vertical height about the fraction bar is not enforced, making for a more pleasing look in this particular case.
With the macro, the delimiters are scaled to the vertical height of the term, but in this case, the maximum delimiter width is constrained to 1.5ex, which can be changed, of course.
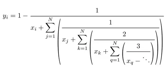
RECOMMENDED ANSWER:
\documentclass{article}
\usepackage{amsmath,scalerel}
\begin{document}
\[ y_i = 1 - \cfrac{1}{x_i + \displaystyle \sum_{j=1}^{N}\scaleleftright[1.5ex]{(}{
\cfrac{1}{x_j +\displaystyle \sum_{k=1}^{N} \scaleleftright[1.5ex]{(}{
\cfrac{2}{x_k + \displaystyle \sum_{q=1}^{N} \scaleleftright[1.5ex]{(}{
\cfrac{3}{x_q-\ddots }}{)}}}{)} }}{)}}
\]
\end{document}

WHAT THE OP ASKED FOR (NOT RECOMMENDED):
This takes the recommended answer, but places the sums as the first argument to the \scalerel{term-to-be-scaled}{term-to-be-scaled-to} macro, effectively growing it to the vertical extent of the associated fraction.
By utilizing the \ignoremathstyle macro (make sure you have V1.7 of scalerel), math style preservation is disabled inside of scalerel arguments, or else the nesting of \mathchoices quickly brings efficiency to its knees.
\documentclass{article}
\usepackage{amsmath}
\usepackage{scalerel}[2015/02/18]
\begin{document}
\[\def\maxwd{2ex}\ignoremathstyle
y_i = 1 - \cfrac{1}{\raisebox{-18pt}{$x_i +{}$} \scalerel{\displaystyle\sum_{j=1}^{N}}
{\scaleleftright[\maxwd]{(}{
\cfrac{1}{\raisebox{-11pt}{$x_i +{}$} \scalerel{\displaystyle\sum_{k=1}^{N}}
{\scaleleftright[\maxwd]{(}{
\cfrac{2}{\raisebox{-3pt}{$x_i +{}$} \scalerel{\displaystyle\sum_{q=1}^{N}}
{\scaleleftright[\maxwd]{(}{
\cfrac{3}{x_q-\ddots }}{)}}}}{)}}}}{)}}}
\]
\end{document}

\sum\limitsinstead of\displaystyle\sum. You'll see immediate improvements. For this picture, I also added\;in front ofx_– egreg Jun 24 '15 at 06:41;-)– egreg Jun 24 '15 at 07:49