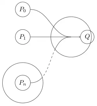
The lines in percusse's answer look slightly skewed because the upper one uses bezier splines and the lower one uses circle segments. In an attempt to fix that, I modified his code to use the same operation for both paths for symmetry.
Edit: By inverting the clip path it is possible to draw the dashed and the solid parts separately without overlap. Thanks to percusse for pointing this out. I also replaced the clipping rectangles with circles to achieve nicer transitions.

Here's the not-so-Minimal Working Example that that yields the above image.
\documentclass{article}
\usepackage{tikz}
% See tex.stackexchange.com/questions/12010/
\tikzstyle{reverseclip}=[insert path={
(current page.north east) rectangle (current page.south west)
}]
\begin{document}
\begin{tikzpicture}[
remember picture, % Needed for inverted clip path. Be careful!
every node/.style={draw,circle}
]
\node (P0) at (0, 4) {$P_0$};
\node (P1) at (0, 2.5) {$P_1$};
\node (Pn) at (0, 0) {$P_n$};
\node (Q) at (3.5cm, 2.5cm) {$Q$};
\coordinate (Qf) at ([xshift=-0.5cm]Q.west);
% Draw solid lines
\draw[->] (P1) -- (Q);
\draw[in=180,out=0] (P0) to (Qf);
\newcommand\clippath{% Just for convenience
(Pn) circle (1.1) (Qf) circle (1.1)
}
% Draw dashed part of the line
\begin{scope}
% To make sure our clipping path does not mess up
% the placement of the picture.
\begin{pgfinterruptboundingbox}
\clip \clippath [reverseclip];
% Note: it is possible to save the scope and put
% the draw command here. But _only_ if you know
% that it will not stick out of the bounding box.
\end{pgfinterruptboundingbox}
\draw[dashed,in=180,out=0] (Pn) to (Qf);
\end{scope}
% Draw solid part of the line
\begin{scope}
\clip \clippath;
\draw[in=180,out=0] (Pn) to (Qf);
\end{scope}
% Draw more unclipped stuff here
\end{tikzpicture}
\end{document}
By replacing \clip with \clip[draw] you can see how this effect is achieved:
