5

I'm wondering why variance has additive property, as opposed to why this property doesn't extend to standard deviation? Additive property is defined as:

Var(A+B) = Var(A) + Var(B)

I imagine this as adding two distribution together which makes sense. But in that case SD should have similar property as well. Why does variance possess this magical property?

Fudge
  • 61
  • 3
    This is only the case if $A$ and $B$ are uncorrelated random variables. If this holds, then $\text{Sd}(A+B)=\sqrt{\text{Var}(A)+\text{Var}(B)}$, which doesn't equal $\text{Sd}(A)+\text{Sd}(B)$ simply because $\sqrt{a+b}\ne \sqrt a+\sqrt b$ in general. – StubbornAtom Feb 03 '19 at 20:26
  • 1
    @StubbornAtom you should make it an answer. – Tim Feb 03 '19 at 22:17
  • @StubbornAtom I see. Why is it Var (A+B) = Var(A)+Var(B) instead of Sd(A+B)² = (Sd(A)+Sd(B))². Of course I understand (Sd(A)+Sd(B))² ≠ Sd(A)² + Sd(B)². In my own uninitiated terms, what is the magical property of variance that standard deviation do not possess. – Fudge Feb 05 '19 at 15:34
  • 1
    @FudgeAruth No magic. By definition, $\text{var}(A+B)=E(A+B-E(A+B))^2=E[(A+B)^2]-[E(A+B)]^2$. Now use the linearity of expectation to arrive at $\text{var}(A+B)=\text{var}(A)+\text{var}(B)+2\text{cov}(A,B)$. More details here. – StubbornAtom Feb 05 '19 at 15:45

2 Answers2

7

It doesn't!

In general:

Var(A+B) = Var(A) + Var(B) + Cov(A, B)

The additive property only holds if the two random variables have no covariation. This is almost a circular statement, since a legitimate definition of the covariation could be:

Cov(A, B) = Var(A) + Var(B) - Var(A + B)

This means that the covariance measures the failure of the additive property of variance.

This leads to the true heart of the matter, the covariance is bi-linear:

Cov(A_1 + A_2, B) = Cov(A_1, B) + Cov(A_2, B)
Cov(A, B_1 + B_2) = Cov(A, B_1) + Cov(A, B_2)

For an intuitive understanding of this, I'll link to the wonderful: How would you explain covariance to someone who understands only the mean?. In particular, see @whuber's answer.

Matthew Drury
  • 35,629
3

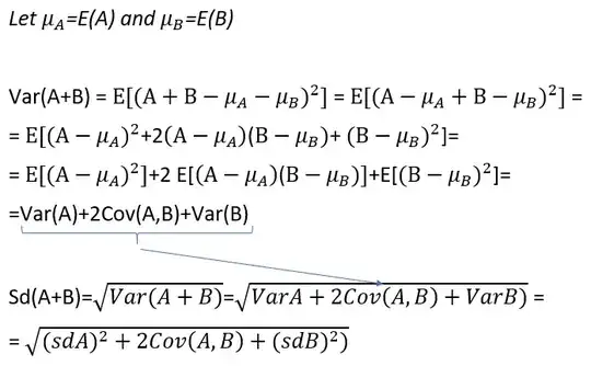
enter image description here

The first thing to notice is that Var(A+B) equals VarA + Var B only when Cov(A,B)=0.

To gain some intuition behind the relationship between sd(A+B) and sd(A)+sd(B), notice that in order to complete the square in this expression enter image description here

Cov(A,B) would have to equal sd(A)*sd(B). The next question is whether that ever happens? Indeed it does. The Cauchy Schwartz inequality gives us the inequality below:

enter image description here.

Whenever the following equality holds enter image description here, we can complete the square and obtain that sd(A+B)=sd(A)+sd(B). However, in all other cases, sd(A+B) will not equal sd(A)+sd(B).