No. First off, if this is a cross sectional sample, you haven't sampled any of the components that failed previously, so there would be infinite survivor bias in that case. If none of the components have actually failed, at best you could provide a lower bound for the survivor distribution. An example of doing that with median unbiased estimation is given below:
Suppose I have a factory with 10 of these components, and all of them have been in service for 10 years without fail. My best estimate of the probability that a component fails in 10 years is 0. An upper bound for this probability can be obtained by using the binomial sampling probability and solving a 95% CI upper bound:
$$\text{arg max } p : Pr(X=0)/2 + Pr(X > 0) > 0.975$$
This is obtained in $R$ by:
fp <- function(p) dbinom(0, 10, p)/2 + pbinom(1, 10, p, lower.tail=T) - 0.975
pupper <- uniroot(fp, c(0, 1))$root
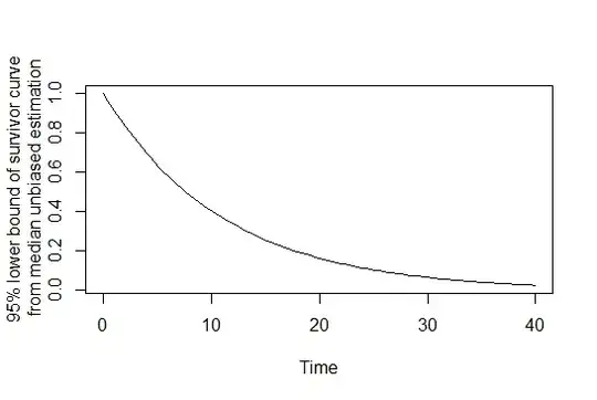
Gives an upper bound for the probability of 0.09. Median unbiased estimates are invariant to monotonic transforms so this can be transformed to a number of person years exposure by multiplying top by the number of components (10) and the bottom by the number of component-years (100) to get a rate of: 0.9 failures per 100 component years. And transforming this to an exponential distribution we get a survivor curve along the lines of:
curve(pexp(x, 0.09, lower.tail=F), xlab='Time', ylab='95% lower bound of survivor curve\n from median unbiased estimation', xlim=c(0, 40))
