After writing the above, I did consult with a grammar book and learned that "de" is used after certain adverbs of time and place. They cannot be used as prepositions without the "de." These include the words "abajo" and "debajo."
This, however, is only a partial answer to the question I pose above, which asks what the differences in meaning are between the three words. Implied in the question is whether or not "bajo de" is a legitimate phrase, and if so, what does it mean and how does it differ from "abajo de" and "debajo de."
I'll continue reading and add to this if I find anything relevant to this topic. It would be nice to have some definitive answers all in one post rather than a tidbit of information here and a tidbit there. StackExchange, more than many other sites, really does attempt to consolidate topics of discussion, so I am hoping this will serve that purpose here.
Addendum
For the record, I've seen at least one comment from someone that claims "bajo de" does not exist in standard Spanish. However, you will see several instances of it — from place names (Bajo de la Alumbrera) to regular text (más bajo de). In all fairness to the one who claims "bajo de" does not exist, I believe he was referring to its use as a preposition that means "under" or "underneath," in which case I concur because I don't recall seeing any examples of it. In other words "bajo el árbol" is correct, but "bajo del árbol," I'm assuming, is not. If I were a native speaker or had some reputable source to cite, I wouldn't have to assume. As it is, it seems rather presumptuous to dictate a rule about a language that is neither my mother tongue nor one I can even claim I speak fluently.
I did find later some instances of "bajo de" in constructs that appeared to be using it as a prepositional phrase, but they were far fewer than "bajo" + noun. At the moment, I have nothing all that authoritative to cite, but if I find something, I'll add it to this post. (And if you know of a source that mentions "bajo" + noun is correct and "bajo de" is not, please add it to a comment.)
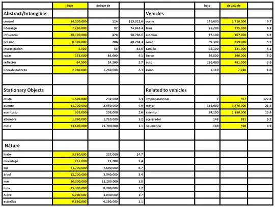
Apart from that, I was recently taking a closer look at the differences between "bajo" + noun and "debajo de." For the most part, and as many suggested in the Duolingo discussion referred to in this thread, they are interchangeable, but I did happen to notice that if the noun in question had anything to do with cars or vehicles of any type (e.g., bus, boat) or the things associated with them (e.g., windshield wipers), "debajo de" was more common. For anything else, especially for figurative uses, the intangible, nature, and stationary objects, it appears that "bajo" + noun is more common. The chart below illustrates this:

Columns of numbers show the number of web pages Google found for each pairing — bajo or debajo de. The highlighted cells indicate which pairing was more common. The third column of numbers shows how much more common the pairing was. These notes regarding columns apply to the next two charts in this posted answer. No filters were applied to the data for this chart other than language (Spanish). Data was originally collected December 28, 2018; a revision was made to correct data for "capó" December 31, 2018. Additional examples — control, presión, reflector, avión, acelerador — were also added December 31, 2018. To enlarge the image, simply click on it.
Curiously enough, I happened to notice that some patterns existed with body parts as well, but not all body parts. Body parts with feminine gender were more commonly paired with "debajo de" and those with masculine gender were more commonly paired with "bajo":

Now, of course, there are always exceptions, and I'm sure there's more than this, but if you want to see a few, take a look at the chart below:

While frequency details can be enlightening, they don't explicitly spell out for you the sometimes subtle nuances in meaning similar words can have. And since that is what the original posted question asked for, I put together a simple chart that lays out some of the different meanings for the words "bajo," "debajo," and "abajo"; the part of speech for each meaning; and an example sentence with English translation. In addition to that, I explored these words and their various adverbial/prepositional combinations and discovered that some combinations are just not used all that often. At the end of each section for each word, you will see crossed out words and phrases. These indicate I did not find these words and phrases with much frequency. If you are a native or fluent speaker of Spanish and you disagree with any I have crossed out, please post a comment.

Click on the image to enlarge it.
Regarding the chart immediately above, I revised the information on it for a few reasons. But before I get to that, let me explain its structure a bit. First off, I should mention that "bajo" is typically used as an adjective meaning "low." Even if my initial inquiry didn't explicitly state this, I was primarily interested in how these three words — bajo, debajo, and abajo — differed when used as prepositions or adverbs, so I didn't deliberately include examples for "bajo" as the adjective "low." However, because I initially thought "de bajo" was commonly used as an adverbial phrase, I included it. When I took a harder look at uses of "de bajo," though, it appeared that a lot of the time "de bajo" is part of an adjectival phrase. In addition to the example you'll now see in the chart above, you'll often see "de bajo" used in common phrases such as these:*
ejercicio de bajo impacto (low-impact exercise)
operación de bajo riesgo (low-risk operation)
bombillas de bajo consumo (low-energy light bulbs)
and not in adverbial ones such as the one I gave in the chart — de bajo nuestras narices. In fact, the only place where I saw "de bajo nuestras narices" is on Reverso. Everywhere else I looked, I saw
de debajo de nuestras narices (from under our noses)
*Please note that this construct does not apply to all things. For example, it is much more commmon to say
préstamo a bajo interés
than préstamo de bajo interés. In fact, "préstamo de bajo interés" may not even exist outside of poor English to Spanish translations, if Google's Ngram is any indicator.
So, we can rule out "de bajo" as a common way to translate "from under." Now let's take a look at "de debajo" and "de abajo." How will you know which one to use? For this pair, it's actually pretty simple. If you'll be specifying what something is "from under," use "de debajo de." If not, go with "de abajo." Typically, "abajo" is not followed by "de" and when it does, its meaning is very restrictive. In the body of this posted question, you will find the Royal Spanish Academy's definition for "abajo de."
Since I did not include any examples of "de abajo" in the chart above, I'll add a few below:
la ecuación de abajo (the equation below)
la sección de comentarios de abajo (the comments section below)
el enlace de abajo (the link below)
la imagen de abajo (the image below)
You get the idea. And don't think that you have to use "de abajo" to express something like this. Words and phrases such as "siguiente," "a continuación," "por debajo," and "más adelante," are perfectly acceptable alternatives to "de abajo." Notice that I did not add "de debajo" to this list. There's a reason. If you're not going to add "de" + noun after "de debajo," use "de abajo" or an acceptable substitute instead.
As a good rule of thumb, if you want to literally express that something is "from under" something else, you will want to use "de debajo de."
Now a question that may remain for some of you is, When do I use just "abajo" and when do I use "de abajo?" Good question and one you may have to just kind of learn as you go, but there are some tendencies and subtle changes between these two that you should at least be aware of. Overall, usage of "abajo" is far greater than "de abajo," but there will be times when "de abajo" is the phrase you need to use. After taking a look at some online news articles to see how "abajo" and "de abajo" were used, I noticed that they could sometimes be interchangeable, but instances of this were few. More often than not, I saw combinations of words that were what I guess you could call "set phrases" or perhaps just "collocations." Outside of those two categories, what I found were examples of phrases whose meaning changed with the presence or absence of "de" before "abajo." You can see what I mean in the chart below:

The data sheet that led to my conclusions about which phrases/combinations were not frequently used:

Click to enlarge. For the chart above, I decided to restrict my search to a Google "News" search in the hopes that it would exclude any nonstandard usage of the combinations I looked at. Pages were also filtered by language (Spanish), but not by country. If you're wondering why the numbers for "bajo" are so much larger than the rest, it is because it is a word with a lot of different meanings and can serve as an adjective (most commonly), a preposition, and an adverb.
Lastly, you may find it interesting to know that the presence or absence of a preposition can really make a difference in its frequency relative to similar words. Notice how "debajo" goes from bottom to top with the addition of "de."

Keep in mind that there appears to be fairly equal amounts of "debajo" without "de" and "debajo" with "de." Even if you have doubts about the ability to extrapolate "debajo" from "debajo de," a glance at the sample sentences Reverso provides for a search of "debajo" indicates that for every situation that calls for "debajo de," there's another that requires just "debajo" (or some combination that does not involve "de" following "debajo" such as "mira aquí debajo" (look under here) or "sigue leyendo debajo" (keep reading below). These two charts simply show that when "de" is added to "bajo" and "abajo," their frequency drops drastically. I go into more detail about the relative frequency of "debajo" versus "debajo de" in this article here:
My comment in "What do you have under the shoes?
And finally, I want to address the request for citations from respected, authoritative sources. My access to resources isn't all that it could be these days, but I did happen to come upon this from Spanish Grammar in Context. If you cannot link to it, see the relevant quoted material below:
Bajo and debajo de mean under, but the first tends to be used more in a figurative sense and in set phrases, while debajo de is normally used in a literal sense.
Having quoted that, it is clear that "bajo" is used in quite a number of literal uses that I don't think fall under the category of "set phrase." Phrases such as "bajo el árbol" as can be seen in use via the following links, are pretty literal uses of the phrase:
Esta gata ...
Árbol mata a mujer en una boda en California
Despite that, even a word like "tree" can be used somewhat figuratively as in "the Tree of Knowledge." In fact, after looking at numerous examples of "bajo" versus "debajo de" I concur with the authors of Spanish Grammar in Context that "debajo de" does seem to be used for more literal situations and I think it's good to keep that in mind. Plus, I bet that if you were to say "debajo del árbol" instead of "bajo el árbol," nobody is going to get confused or ask you if you meant "bajo el árbol" instead even though "bajo el árbol" appears to be more common. Now that I think about it, it might be similar to the difference between "under the tree" and "underneath the tree." Most English speakers would probably tell you that there is no difference between these two variations and I suspect the same is true for Spanish when it comes to "bajo" and "debajo de."