31

There is a puzzle about two spies:

Two spies must pass each other two secret numbers (one number per spy), unnoticed by their enemies. They have agreed on a method for doing this using only 26 indistinguishable stones in advance.

They meet at a river, where there is a pile of 26 stones. Starting with the first spy, they take turns throwing a group of stones into the river: the first spy throws some number of stones, then the second one, then the first one again...

Each spy must throw at least one stone on his turn, until all the stones are gone.

They observe all throws and diverge when there are no more stones. They keep silence all the time and no information is exchanged except number of stones thrown at each turn.

How can they exchange the numbers successfully if the numbers can be from $1$ to $M$?

To understand the idea you can read the following simple solution for $M = 42$:

0. Let's call the spies spy 1 and spy 2. Spy 1 has number $N_1$ to tell Spy 2, and Spy 2 has number $N_2$ to tell spy 1.

1. The spies agree that each number $N$ from $1$ to $42$ shall be represented by a combination of two numbers $(m_1, m_2)$, where $1 \le m_1 \le 7$ and $1 \le m_2 \le 6$. Since there are exactly 42 possible combinations of $(m_1, m_2)$, it is possible for them to make this mapping.

2. At the river each spy calculates his pair of numbers $(m_1, m_2)$ that corresponds to the number he wants to send.

3. Spy 1 throws stones in the river corresponding to his $m_1$, then spy 2 throws stones corresponding to his own $m_1$, then spy 1 throws $m_2$ stones, then spy 2 throws $m_2$ stones.

4. Finally, spy 1 throws all the rest of the stones into the river if any left.

This solution works because neither spy throws more than 13 stones, so they can never throw more than 26 in total.

I know the algorithm for $M = 1716$. I know that an algorithm for $M = 2286$ exists, but I do not know what it is. I wrote a program that seems to prove that it is impossible to do if $M > 2535$.

I would like to know, what is the algorithm for $M = 2286$? Is it possible to formulate an algorithm for $M > 2286$?


Please note that people who attempt to solve this puzzle keep making the same mistakes:

  1. People forget that due to the alternation rule, if spy 1 needs to make $K$ throws, then spy 2 can make only $K-1$ or $K$ throws.

  2. People do not take into account that spies must agree on everything in advance. Therefore it doesn't matter for the second spy how big the first spy's number is, and how many stones he actually needs to transmit this information; each spy's algorithm must work for any possible number (from $1$ to $M$), that the other spy can want to tell him.

klm123
  • 16,216
  • 8
  • 64
  • 125
  • 2
    I'm finding quite a bit of depth in the construction of the decision tree, and beginning to wonder whether I might be able to get enough out of it to write a paper, so for that reason I'm curious about the problem's history and whether anything has been published on it. Can you tell me anything useful about your source for it? – Peter Taylor Jun 16 '14 at 21:36
  • @PeterTaylor, all I know is that the puzzle was proposed in Oct 2009 by user tatunia (currently inactive) on this russian puzzle site: https://braingames.ru/index.php?path=comments&puzzle=475 – klm123 Jun 16 '14 at 21:46
  • Ok, thanks. I'll ask on the math stack and see whether anyone there knows it. – Peter Taylor Jun 16 '14 at 21:50
  • I see you posted it here: http://math.stackexchange.com/questions/836645/history-of-a-combinatoric-problem-exchanging-numbers-by-throwing-stones . The exact user's name is tatunya, sorry. – klm123 Jun 16 '14 at 22:15
  • Having read your clue for this puzzle, that solution doesn't work! How, for example, would a spy represent 19? – dwjohnston Jun 23 '14 at 04:10
  • @dwjohnston, 19?? As any other number. For example, spy can throw only 1 stone at the first turn - that would mean 19. – klm123 Jun 23 '14 at 04:40
  • Ok, wait, I get you, so they have a prearranged matrix that determines each number, it's not simply the product of M1 and M2. – dwjohnston Jun 23 '14 at 04:50
  • @dwjohnston, yes, see item 1 and 2. – klm123 Jun 23 '14 at 04:53
  • Is there any requirement that they only communicate using the number of stones thrown? For instance, could they devise a simple algorithm like close throw = 0, far throw = 1 and each be able to represent up to 2^13 = 8192? Or is that against the rules? – John Chrysostom Jul 01 '14 at 17:23
  • 1
    @JohnChrysostom, please read carefully: "They keep silence all the time and no information is exchanged except number of stones thrown at each turn." – klm123 Jul 01 '14 at 17:25
  • Then I think Joe Z's 4096 solution is mathematically as good as you're going to do... – John Chrysostom Jul 01 '14 at 17:28
  • I wrote a program that also shows 2535 should be possible. – Florian F Oct 04 '14 at 09:13
  • Does the number of stones thrown have to be an integer? It doesn't specify that in the question so a nice loophole at present would be to throw exactly 1.(number spy wants to transmit) stones for the first two throws and then throw the remaining 23.(sum of spies' numbers subtracted from 10^number of digits in that sum +1) stones in. – Please stop being evil Mar 21 '17 at 20:32

5 Answers5

14

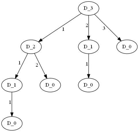
I think that the answer lies in inductive construction of the decision tree. At each step there are $k$ stones remaining, and the current player has to throw somewhere from $1$ to $k$ stones. The full tree $D_k$ for a situation with an initial $k$ stones is thus built up with $D_k$ having $k$ children, one instance each of $D_i$ for $i$ from $0$ to $k-1$: e.g. $D_3$ is

Full decision tree with 3 stones

where the label on each edge is the number of stones thrown and every path ends with no stones remaining.

However, the spies must have pre-agreed an assignment of values to the leaves of this tree in such a way that the result is decodable: i.e. that given their place on the tree, each spy knows what possible outputs there are, and can communicate his number regardless of his partner's number. For simplicity, we assume that they prune all branches which have no values assigned to their descendants.

I believe that we can construct all such decodable decision trees from a simple principle: the children of the current node must all be decodable in order for the current node to be decodable. Then we can build up the decodable trees starting with $D_0$. I'm going to use the notation $T_k$ to denote the set of decodable trees with $k$ stones, and I'm going to represent each such tree as the thing which we really care about: $(x, y) \in T_k$ means there is a decodable tree with $k$ stones which allows the player who goes next to say one of $x$ numbers, and the other player to say one of $y$ numbers.

The base case is obviously $$T_0 = \{ (1, 1) \}$$ because neither player can do anything to distinguish between numbers. The recursive construction is $$T_k = \left\{ \left(\sum_{s \in S} \mathrm{snd}(s), \min_{s \in S} \mathrm{fst}(s) \right) \middle| S \in \prod_{i<k} \left(T_i \cup \{(\infty, 0)\}\right) \right\} \setminus \{(0, \infty)\}$$ where the $(\infty, 0)$ option corresponds to pruning the branch where the current player would throw $i$ stones.

When $k>1$ we can make a small transformation for ease of computation: $$\begin{eqnarray}\prod_{i<k} \left(T_i \cup \{(\infty, 0)\}\right) &=& \left(T_{k-1} \cup \{(\infty, 0)\}\right) \times \prod_{i<k-1} \left(T_i \cup \{(\infty, 0)\}\right)\\ &=& \left(T_{k-1} \times \prod_{i<k-1} \left(T_i \cup \{(\infty, 0)\}\right)\right) \cup \\&& \left(\{(\infty, 0)\} \times \prod_{i<k-1} \left(T_i \cup \{(\infty, 0)\}\right)\right)\\ \end{eqnarray}$$ so $$\begin{eqnarray}T_k &=& \left\{ \left(\sum_{s \in S} \mathrm{snd}(s), \min_{s \in S} \mathrm{fst}(s) \right) \middle| S \in \left(T_{k-1} \times \prod_{i<k-1} \left(T_i \cup \{(\infty, 0)\}\right)\right) \right\} \cup \\&& \left\{ \left(\sum_{s \in S} \mathrm{snd}(s), \min_{s \in S} \mathrm{fst}(s) \right) \middle| S \in \prod_{i<k-1} \left(T_i \cup \{(\infty, 0)\}\right) \right\} \\ &=& \left\{ (x + y, \min(w, z)) \middle| (w, x) \in T_{k-1}, (y, z) \in T_{k-1} \cup \{(0, \infty)\} \right\} \cup T_{k-1} \\ &=& \left\{ (x, w) \middle| (w, x) \in T_{k-1} \right\} \cup \left\{ (x + y, \min(w, z)) \middle| (w, x) \in T_{k-1}, (y, z) \in T_{k-1} \right\} \cup T_{k-1} \\ \end{eqnarray}$$

We can also simplify the bookkeeping by removing dominated pairs: if one pair is strictly worse than another, we forget about it. Denote the simplified sets as $T'_k$.

So we get $$\begin{eqnarray}T'_0 &=& \{ (1, 1) \}\\ T'_1 &=& \{ (1, 1) \}\\ T'_2 &=& \{ (2, 1) \}\\ T'_3 &=& \{ (3, 1), (1, 2) \}\\ T'_4 &=& \{ (5, 1), (2, 2), (1, 3) \}\\ T'_5 &=& \{ (8, 1), (4, 2), (2, 3), (1, 5) \}\\ T'_6 &=& \{ (13, 1), (7, 2), (4, 3), (3, 4), (2, 5), (1, 8) \}\\ \vdots \\ &&(1782, 1782) \in T'_{25}\\ &&(2535, 2536) \in T'_{26} \end{eqnarray}$$

So the solution is $$M=2535$$

Peter Taylor
  • 4,531
  • 21
  • 35
  • 1
    Too much terminology to understand the answer clearly... But I believe this is what my program did when I wanted to check what is the maximum. I would be rather interested in an algorithm applicable by humans... – klm123 Jun 13 '14 at 11:37
  • 1
    I'm not sure what you mean by "too much terminology", but this is a constructive sketch proof, and it can be turned into a book of about 1800 simple lines of the form e.g. (84, 5) => (50, 5), (6, 34) which will allow anyone capable of basic mental arithmetic to execute the process. – Peter Taylor Jun 13 '14 at 12:00
  • I don't understand what is D_0? Difference between leaf and node? What is decodable result? Could you explain this words, please? – klm123 Jun 13 '14 at 12:33
  • spies can't really use books with lookup tables:) they will be revealed. – klm123 Jun 13 '14 at 13:00
  • @PeterTaylor - I'll respect your comment to not replace your code tags with MathJax tags, but I think the post would be significantly more readable if you did. It's easy enough to do a find/replace if the answer is being copied elsewhere wholesale. Feel free to weigh in here. – Bobson Jun 13 '14 at 14:50
  • @Bobson, I've already upvoted Gilles' answer. I'm still optimistic that at some point the powers that be will listen to the community consensus (I don't have enough rep to see how that overall +9 breaks down, but a new site doesn't generally have masses of users active on meta), and when they do I will edit my answer. But I don't want to set it up so that when they fix the site the answer becomes completely illegible until edited. – Peter Taylor Jun 13 '14 at 15:00
  • Hey, that's exactly what I was trying to do with my crappy dynamic code! Did you write something better? – user2357112 Jun 13 '14 at 15:57
  • 1
    @user2357112, code. – Peter Taylor Jun 13 '14 at 16:00
  • Given the way you describe your algorithm as a search tree, I'm not convinced there isn't a simpler way to describe how two humans would use the algorithm. –  Jun 13 '14 at 17:38
  • And I was thinking about something like this, but had no idea how to convert it into an actual formula. –  Jun 13 '14 at 17:46
  • I still do not understand the formulas, but I understood the idea, from the resulting numbers, I had the same set of sets T when I solved it. This answer helps to understand the puzzle. +1. – klm123 Jun 13 '14 at 19:20
  • What do $\operatorname{minfst}$ or $\operatorname{snd}$ mean? – chubakueno Jun 13 '14 at 19:56
  • @chubakueno: I'm guessing snd is second and minfst is min fst, where fst is first. It could be clearer, though. – user2357112 Jun 13 '14 at 21:15
  • @chubakueno, user2357112 is spot on. – Peter Taylor Jun 13 '14 at 21:31
  • Nice solution, as best I can tell both correct and optimal. – aaaaaaaaaaaa Aug 30 '14 at 11:34
  • @klm123 You can't make a puzzle about combinatorics and then be surprised that a good answer relies on group theory. – Etheryte Oct 06 '14 at 23:35
  • @PeterTaylor: If you don't mind, I want to make a blog post about this puzzle and include your solution and your paper in it. It's a great example of a problem with a multitude of solutions with surprisingly uniform increases in effectiveness. –  Oct 10 '14 at 23:05
  • @JoeZ., feel free. Just please refer to it as a preprint, because I'm planning to submit it for publication. – Peter Taylor Oct 11 '14 at 09:46
  • @PeterTaylor Will do. –  Oct 11 '14 at 15:42
  • @PeterTaylor Did you have it in publication already? Can I have the link? – justhalf Feb 17 '21 at 03:32
6

This is another example of an information puzzle. You are trying to find the most numbers a pair of spies can send to each other given that there are 26 stones in the river.

Furthermore, the stones are all identical, and the only way the spies can communicate is by throwing a certain number of stones into the pond at the same time.

You are ultimately trying to devise an algorithm that can produce the most possible outcomes for this procedure of throwing 26 stones, which will them map to the greatest number of results.


The answer lies in the number of ways there are to divide 26 stones into groups.

Although the stones themselves are identical, the order that they're thrown in isn't. So the groups that the stones are thrown in form an ordered partition, like such:

o o o o|o o o|o o|o o o o o|o|o o|o o o|o o o o|o o

Each o represents a stone, and each | represents a divider between a group of stones that were thrown. In the example above, there were 4, 3, 2, 5, 1, 2, 3, 4, 2 stones thrown.

Now, notice that any two consecutive stones can have a divider between them or not. This is a total of 25 dividers that can either be present or not present, for a total of $2^{25} = 33~554~432$ outcomes. So our first upper bound on the numbers the spies could exchange is $\lfloor2^{12.5}\rfloor = 5792$.

Complicating this is the fact that each spy has to have some control over the stones they throw. If spy 1 throws all 26 stones (which is the case with no dividers), this leaves no choice in the matter for spy 2.

So, we decide instead to give each spy his own set of 13 stones, which again can either have dividers between them or not (which is a total of 12 positions where dividers can occur). In this case, the upper bound is $2^{12} = 4096$.

Complicating this yet again is that each spy has to throw either the same number of groups of stones, or the first spy throws one more group of stones than the second spy.

So, for each of the 13 stones, the spies need to decide on a way to divide them into groups of, say, 6 or 7. If each spy decides beforehand to divide the stones into exactly 7 groups to throw, this gives a total of $\binom{12}{6} = 924$ choices in where to put the dividers, which is our first solution that actually works.


From here, we have to work up. Note that this first naïve solution doesn't take advantage of the fact that the first spy can throw one more group of stones than the second, or that either spy can throw less than 13 stones. So there's some information that we've ended up discarding.

The hockey stick theorem states that any number $\displaystyle \binom{n}{k}$ is equal to $\displaystyle \sum_{m=0}^{k} \binom{n-1-m}{k-m}$ (the theorem gets its name from the way those numbers form a hockey stick on Pascal's Triangle). So supposing we instead arrange that spy 2 can throw anywhere from 7 to 13 stones in 7 groups depending on how many spy 1 throws, he can still get a total of $\binom{13}{6} = 1716$ combinations. The algorithm then becomes:

  • Both spies determine which arrangement of stones to throw beforehand, with the restriction that they each throw exactly 7 groups of no more than 13 stones.

  • They come to the river and alternate throwing groups of stones that correspond to their number.

  • Spy 1 then throws all the remaining stones into the river, and they depart.

This allows them to exchange two numbers up to $1716$, which is the same number you got up to.


Now, we note that in some of the above cases, we have some stones left over that Spy 1 has to throw away. Could we put these to better use?

  • In $\binom{11}{5} = 462$ cases, a spy will have 1 stone left.

  • In $\binom{10}{4} = 210$ cases, a spy will have 2 stones left.

  • In $\binom{9}{3} = 84$ cases, a spy will have 3 stones left, etc.

In each of these cases, the spy can throw any number from $1$ to $n$ stones, but Spy 2 cannot throw any stones if Spy 1 doesn't throw at least $1$ first, so we consider the worst-case scenario where Spy 1 has thrown all his stones but Spy 2 still has $n$ to throw.

Spy 1 throws a stone, leaving $n-1$ for Spy 2. Spy 2 then throws any number from $1$ to $n-1$ and Spy 1 throws the rest away. This algorithm will still work if there are any other number of stones left.

This doesn't really do anything in the case where there are only 1 or 2 stones left (in each of these cases, Spy 2 either has no stones to throw or must throw exactly 1 stone, which doesn't give any information). However, for 3 or more stones, we get the following improvements:

  • For $s = 3$, we can express $2$ cases per arrangement, for an improvement of $\binom{9}{3} \times (2-1) = 84$ more cases.

  • For $s = 4$, we can express $3$ cases per arrangement, for an improvement of $\binom{8}{2} \times (3-1) = 56$ more cases.

  • For $s = 5$, we can express $4$ cases per arrangement, for an improvement of $\binom{7}{1} \times (4-1) = 21$ more cases.

  • For $s = 6$, we can express $5$ cases per arrangement, for an improvement of $\binom{6}{0} \times (5-1) = 4$ more cases.

All together, we get $84 + 56 + 21 + 4 = 145$ extra cases from the extra stones, bringing the total up to $1861$.


I can't see any elegant improvements to make on this algorithm past that, though. If you were to make a computer program to traverse all the possibilities, I suppose you could get to $2286$, but it would probably require a whole different approach, potentially involving the same sequence of throws from one spy representing different numbers depending on how the other spy threw his stones.

  • 1
    P.S. 1. You solution for 1716 is correct. It can be slightly improved in termins of "|"-s. It is just that you have 7 "|"-s and "|" can have one more possible position - after 13th stone. 2. According to my knowledge M=2286 algorithm does exists and doesn't need computer to be applied. – klm123 Jun 12 '14 at 18:34
  • Alright, I'm done editing, and my solution goes up to 1861 now. –  Jun 12 '14 at 18:57
  • 1
    Nice job! I'd never have thought of using the divisions between stones that way. – Bobson Jun 12 '14 at 19:08
  • 1
    For $s=5$, we can express 5 cases per arrangement, for $s=6$ we can express 8, and in general it goes like Fibonacci numbers. So if you take the base number of throws to be 6 rather than 7 you can get up to 2092. – Peter Taylor Jul 22 '14 at 07:43
  • FYI I've referred to your technique in the long form of the paper I've written on this problem. Preprint. The magazine I'm planning to submit to generally publishes shorter papers, so that section might be cut if I get it published. – Peter Taylor Oct 09 '14 at 22:51
  • If you're going to include me in a paper, I'd prefer to go by my full name, Joe Zeng. –  Oct 10 '14 at 02:18
  • Sure. Will edit and upload a new version when I get home. – Peter Taylor Oct 10 '14 at 13:06
  • Much obliged. $\ $ –  Oct 10 '14 at 17:22
  • Peter Taylor found a higher number . @JoeZ. I was just wondering of what is missing from your method . Can you please revisit your solution ? Thanks – Hemant Agarwal Feb 05 '21 at 13:55
1

This to add to Joe Z.'s answer, who achieved 1861. Hope this will help the other people to improve the answer.

Joe Z.'s idea with some tuning allows to achieve 1891. The idea, which makes it possible to proceed further is to choose between two algorithms basing on the first turn result. [Actually, this is a special case of more general idea, described in Peter Taylor's answer, what is good about below-described algorithm is that $M_{max}$ here can be found without help of computer.]

So, here is the algorithm for M = 2106:

  1. Each spy gets 13 stones as his "property" stones (let's call them PS). That means a spy can count on these stones to use them how he likes without worries about what needs the other spy.

  2. Each spy also gets some number ($T$) of mandatory turns (let's call them MT) to distribute his 13 stones between. $i$-th spy guarantees to throw 13 or less stones in $T_i$ turns.

  3. Spy 1 decides how many mandatory throws each spy will get.

    • If spy 1 trows 1 stone at turn one then $T_1 = 7, T_2 = 6$.
    • If spy 1 trows 2 or more stones at turn one then $T_1 = 6, T_2 = 5$.
  4. If some spy $i$ ($i$ = 1 or 2) has made $T_i$ turns but the other spy (spy $j$) needs more then one turn to finish, spy $j$ "leaves" one stone for the other spy to "burn": he (spy $j$) subtracts one stone from his PS.

  5. If spy $i$ sees that the other spy must left for him one stone to "burn" spy $i$ must "burn" this stone no matter what: he throws one more stone than he planed.

  6. Spies agree on enumeration of all posible combinations each of them can do by this algorithm in advance.

Let's calculate the combinations each spy can throw.

First lemma, what number of combinations a spy can do if he decides to throw $S$ stones in $T$ turns?

The possible map of throws looks like this:

`Ao|o|o|o|o|o|o o o o o o oB` 

The notation is o - a stone, and each | - a finish of a turn (can be at any plase between o's), A - start, spies just came to the river, B - finish, spies diverge, - a free position, where | can be put.

So we have $T-1$ | to put in $S-1$ position. The number of combinations will be $C = \binom{S-1}{T-1}$.

Second lemma, what number of combinations a spy can do if he decides to throw $S$ stones in $T$ or $T+1$ turns? It would be $C = \binom{S-1}{T-1} + \binom{S-1}{T} = \binom{S}{T}$.

Then the mini decision tree:

  1. First spy:

    1. Decides that he needs $T_1 = 7, T_2 = 6$. Then his first turn has been finished, 12 PS and 6 MT of the other spy left. He can make 6 "free" turns.

      1. He can leave 0 stones for spy 2 to burn and throw 12 stones in 6 turns, which will give him $C = \binom{11}{5}$ combinations.
      2. He can leave 1 stone for spy 2 to burn and throw 11 stones in 6 or 7 turns, which will give him $C = \binom{11}{6}$ combinations.
      3. ... [full analogy].
      4. In total $C = \binom{11}{5} + \binom{11}{6} + \binom{10}{7} + \binom{9}{8} = 1053$.
    2. Decides that he needs $T_1 = 6, T_2 = 5$. Then his first turn is not finished, 12 PS and 5 MT of the other spy left. He can make 6 "free" turns.

      1. ... [exactly the same as the previous case]
      2. In total $C = 1053$.
    3. In total $C = 1053 + 1053 = 2106$.
  2. Second spy:

    1. $T_1 = 7, T_2 = 6$. He has 13 PS and 6 MT of the other spy left.

      1. He can leave 0 stones for spy 1 to burn and throw 13 stones in 6 or 7 turns, which will give him $C = \binom{13}{7}$ combinations.
      2. He can leave 0 stones for spy 1 to burn and throw 12 stones in 7 or 8 turns, which will give him $C = \binom{12}{8}$ combinations.
      3. ... [full analogy].
      4. In total $C = \binom{13}{7} + \binom{12}{8} + \binom{11}{9} + \binom{10}{10} = 2267 $.
    2. $T_1 = 6, T_2 = 5$. He has 13 PS and 5 MT of the other spy left.

      1. ... [full analogy with the previous case].
      2. In total $C = \binom{13}{6} + \binom{12}{7} + \binom{11}{8} + \binom{10}{9} = 2683 $.
    3. In total $C = min(2267, 2683) = 2267$. (This spy can't choose the case).

  3. In totals both spies can do $C = min(2106, 2267) = 2106$.

klm123
  • 16,216
  • 8
  • 64
  • 125
  • You say that "Joe Z.'s idea with some tuning allows to achieve 1891". If you got that 1891 in the same way that I did, I think you'll agree with me that with the additional tuning change of using only 6 throws it's possible to achieve 2092. – Peter Taylor Jul 21 '14 at 17:19
0

So lets see how much information can be exchanged, my highest is m = 715 or 1430 for both spies.

Lets look at the restraints.

1) The number of stones is the only information that may be collected.

2) The two spies must take turns , they must therefore take the same number of turns

3) The number of stones is limited , 26

4) The spies may not limit the throws of the other player (each has 13 stones)

5) They may not throw 0 stones

Implied Rules

6) Each player may not know anything about the other players numbers. Nor may they know anything about the numbers during their meetings.

7) One spies number may not interfere with the other spies number. Scenario where one spy finishes early or uses the other players left over stones cannot occur.

This means that there are at most six turns of throwing stones. On a given turn a player may throw a stone or more. The number of throws cannot be available since they must stop at the same time sop they must have their information in the same space of turns. They must know how many turns are being exchanged so they can terminate at the same time.

Simply using the dividers between the 13 stones from above as a binary word is a good idea. This will allow numbers up to 2^12 to be represented. By considering the division of a group as a binary signal, and the lack of a divider as the off positions you get a 12 bit word. This does not rely on extra information being passed, just translates the gaps into a binary word. to ensure the alternation of turns the binary word will be 6 bits long of binary data ( 1 stone = 0, 2 stone = 1). This gives us 2^6 options. I know above it seems great to have 2^12 from a grouping of 13 stones. However by stating that you have dived them into 6-7 groups ( 7 is impossible) you have created six bits, not 12. You are counting the number of ways to group the data, and yet you just said the there are only 6-7 groups. 64 for each spy, sadly a 7th digit cannot be included due to only having one stone and not being able to assume the number isn't 64. With only one stone that bit will never actually contain data since there is only one choice. Using the separators to binary encode is a good idea, but needs the numbers of throws to be variable, which does not work. This is due to having to terminate the word at agreed number of symbols. so . . m = 64

The information allowed is the number of stones. However the turn limitation forces us to allocate enough stones to allow for full transimition. So we are looking for unique signals sent by groups of numbers, limited to 13 stones. Each grouping is a symbol to be transmitted. Sending 6 groups using 12 stones make no logical sense. So instead of loosing that last stone it should be used for a trinary signal in that grouping.

However if the Alternation of throws is enforced very strictly . . . meaning they MUST take turns, the problem becomes very abbreviated. Even the tree above which i find as wonderful mechanic should be constructed so that the tree is balanced, for example that each player reaches the end of their tree with the same number of turns. Logically the forces them to used a set number of agreed groups and leave left over stones. If each player has 13 stones then they can do 6 binary, 4 trinary, or 3 quadrany choices.
If each leaf has N choices there can be N / K rounds of signals sent. if the signals are 1 stone /two stone there are six signals and a tree of 2^6 in size. if there are three signals (1 stone, 2 stone, 3 stone) you have a tree of 3^4 in size. This is due to the nodes not being able to contain a value, only the end of the path does. How can a spy terminate early? the signals must all be sent otherwise we need a new signal to indicate the end. so using a look up tree might not be as efficient here as we hoped due to the limited information.

tightly enforcing this constraint pushes out many possible scenarios. it seems that four trinary signals would carry the most information in this scenario. four blocks of trinary data sent by both spy would allow for 81 different signals without compromising the information sharing rules, the turn alternation rules, or the rock sharing rules. However we can use the last stone and add one more choice. This nets us 3 X 3 X 3 X 4 = 108 choices.

Now to use the leftover stones we can simply make the later choices in the tree to include the possibility of the leftover stones being left. There are many cases where the leftover stones could be used in the final 'word'. In fact we get a larger pool of results by limiting the later throws. 10 choices, 1 choice, 1 choice, 1 choice performs better than 3 , 3, 3, 4 in this case due tot he carry over stones. This yields many extra leaves on out decision tree. I will try to get a mathematical expression for this calculation, I wrote a program to test it and found 715 as the optimum choice.

Now the case where the number of turns are decided by the first players move does not work for two reasons. This simply makes the first choice a binary choice and uses extra stones. Furthermore, if the first player need to use the extra set and indicates this, what does the second player do if their answer is in a tree with a different number of moves? Trees in this case must be balanced ( have the same number of nodes to all leaves).

Both the binary tree above and the binary combinations above count far too many scenarios where the information exchange does not work. The look up table is irrelevant, the total numbers of signals is the relevant answer. Both players will have a look up tree that must be identical. But the tree must be balanced or else one player will end on tier two while the other pushes to the last leaf of the deepest branch. Test your scenario with the highest value/ lowest value pairs, and then with a highest /highest value to test the transmition.

  • The other three solutions are all correct, although only mine is optimal. I actually have a more efficient way of calculating it, which I will shortly attempt to submit for publication. The reason that your solution falls so much shorter is that you're self-imposing constraints which aren't in the question, in particular the strict 13-13 division of the stones. – Peter Taylor Oct 06 '14 at 13:16
  • A player cannot use more than 13 stones or they limit the other players possible information. You are attempting to expand to a situation where one player is limited to a shorter set of information while the other transmits using their stones. There is no way to allocate less than 13 stones to each player without limiting one player to a smaller set of answers. Logically this could not work unless while establishing their code they know that one player will have a smaller number meaning that they know they numbers in advance. You are expanding the problem to allow illogical games to be played. – Anthony Leese Oct 06 '14 at 13:54
  • 1
    Even with a strict limit of 13 stones and a fixed algorithm for both sides, you can get up to $924$ easily, as shown in my solution. –  Oct 10 '14 at 02:22
-3

Thinking of a simpler and more practical solution that is focusing on the first part of the question:

How can they exchange the numbers successfully if the numbers can be from 1 to M?

and not worrying about the algorithm portion of the question as this is puzzling and not math stack exchange after all. I can come up with a simple solution that allows for 9,999 numbers for each spy. Other posters seem to think a restraint is:

The number of stones is the only information that may be collected.

I did not see that as part of the question. So we can also use the location the stone lands as an indicator of its value. Also assume each spy will take two turns each. For example if it is on the right of the spy it's 1 in front of the spy 2, left of the spy 5, Far away on the right 10, far away in middle 30, far away on the right 50.

Turn one is for the tens and ones

enter image description here

Turn two for thousands and hundreds

enter image description here

I guess you could go limitless if you wanted to also include height of stone, way it was thrown, number of times it bounded on the water. I simply thought it would be nice to have a non mathematical solution to show an alternate easyer to understand way to solve the problem that allows for higher numbers.

Daveo
  • 103
  • 1
  • 1
    "and no information is exchanged except number of stones thrown at each turn", from the original post... – frodoskywalker Jan 02 '15 at 03:10
  • 3
    Even if the OP didn't already have that sentence, this wouldn't be an "alternate easier to understand way to solve the problem," it would be a mathematically uninteresting loophole. Good attempt, but this is a math puzzle, not a lateral thinking puzzle. – Lopsy Jan 02 '15 at 03:46
  • -1. This is not related to the OP's question and even if idea is good (which i'm not sure, there can be hundreads ideas like this) it confuses people. – klm123 Jan 02 '15 at 08:26