what is the formula for YTM for semiannual payments using handheld calculator ?? how can i able to calculate yield to maturity for semiannual bond payments with handheld calculator
-
1Why do you believe that such a formula exists? – DJohnM Aug 03 '15 at 20:54
3 Answers
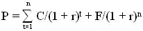
From InvestingAnswers, the price of a bond is equal to the present value of its future cash flows, as shown in the following formula:
Where:
P = price of the bond
n = number of periods
C = coupon payment
r = required rate of return on this investment
F = maturity value
t = time period when payment is to be received
By induction, this is equivalent to:
p = ((1 + r)^-n * (f * r + c * ((1 + r)^n - 1))) / r
or, using more familiar formulae, it is equivalent to the formula for the present value of an ordinary annuity to represent the coupon payments, plus a term for the discounted value at maturity:
p = ((c - c * (1 + r)^-n) / r) + f * (1 + r)^-n
For example, a 10 year semiannual bond with coupon payment 10%, priced at 1095 with maturity value 1000.
p = 1095
n = 10 * 2 = 20
f = 1000
c = f * 0.10 / 2 = 50
1095 = ((1 + r)^-20 * (1000 * r + 50 * ((1 + r)^20 - 1))) / r
Solving for r yields 0.0428332 or 4.28% semi-annually. (8.75% per annum)
The solution can be found by plotting or using a solver, which many pocket calculators have.
Plot of p as a function of r, intersecting with p = 1095 when r = 0.0428
Checking on Investopedia
- 9,797
- 1
- 20
- 36
If it's number of years and the interest is per-annum the formula is the same as the normal one.
this should work on most hand-held calculators.
rate ÷ 100 + 1 = x
{now press = once for each year past the first}
x principle =
- 927
- 5
- 9
R = I ^ P
R = return (2 means double)
I = (Intrest rate / 100) + 1 [1.104 = 10.4%]
P = number of periods (7 years)
2 = 1.104 ^ 7 (you double your money in seven years with a yearly Intrest rate of 10.4%)
I = R^(1/P)
1.104 = 2^(1/7)
P = log(R) / log(I)
7 = log(2) / log(1.104)
- 2,416
- 10
- 11




