2

The diphthongs in the Hawaiian language are:

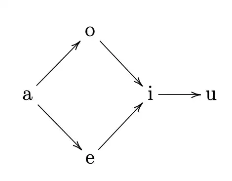
ai ae ao au ei eu iu oi ou

One way to remember this is the diagram:

Hawaiian diphthongs diagram

Here, a diphthong “xy” can be formed whenever “x” is further left than “y”.

This diagram is something I can up with while teaching a math enrichment class.

My question is: is there any linguistic reason why the set of diphthongs would have this structure?

Be Brave Be Like Ukraine
  • 8,629
  • 9
  • 38
  • 66
  • Each language has its own thing. It is not logical. It's historical and has an evolution we may never actually know. – Lambie Jul 03 '23 at 20:03
  • 4
    This will more or less work (with some tweaking here and there) for any language that features only falling or height-harmonic diphthongs, since the second part of all diphthongs will then always be adjacent to or to the right of the first part in the diagram. Hawaiian happens to make the diagram extra symmetric because it has /ae/ but not /oe/ (although apparently that depends on dialect) as well as /iu/ but not /ui/, but even in languages where this isn't the case, it would usually be fairly trivial to make a diagram similar to this one. – Janus Bahs Jacquet Jul 03 '23 at 20:24
  • 1
    @JanusBahsJacquet Thanks for the concept of vowel height. Now I actually see similar diagrams to mine at https://en.wikipedia.org/wiki/Vowel_diagram – Bjørn Kjos-Hanssen Jul 03 '23 at 20:52

1 Answers1

1

There are two kinds of "why" answers, hard-core reality ones, and conjectural-conceptual ones. The hard-core reality answer is "Because of the linguistic history of Hawaiian", which involves knowing "where with these diphthongs originate from. One possibility is that they are untraceably ancient, going back to proto-Austronesian. That seems to be the case with ai, ai, ui, iu, though one would have to dig deeper into the history of Hawaiian to see if contemporary ai, au are retentions from the proto-language. Loss of ui would be explained somewhere in the Austronesianist literature. That beyond the scope of what I know.

The other approach to the "how" question is the conjectural, where we attempt to imagine what forces could have had this outcome as a result. Mostly, this comes down to saying what we could imagine as having shaped the facts in this particular way, typically in the form of a hypothesis about forces that would manipulate vowel sequences to evidence this particular pattern. For example, Hawaiian has all of the a+V diphthongs (a+a = ā), so that knocks out a large part of the chart if we assume originally all vowel sequences were allowed (but we know that's not true at least at the level of Austronesian). Perceptually speaking, [a] is more distinct from other vowels so [ai, ae] etc are fairly perceptible – [ao] would be the most challenging diphthong that starts with a low vowel. One can continue with such post hoc stories until you end up exactly predicting the extant diphthongs.

There is an alternative approach that generally consigns the question "why" to historical linguistics, and instead focuses on the question "what", but at a level higher than just giving a list. Regardless of how the facts came to be the way they are, linguists at least these days focus instead on the question of what actually exists in the grammar that results in an observed fact: and is there sufficient evidence that this is recognized in the grammar. Is there an actual rule, or are we just looking at a historical and statistical residue of sound changes?

One way to know whether the historical distributions are part of the current grammar is to look at phonological processes, for instance, do you delete a vowel when a vowel-final root is followed by a vowel-initial suffix? Do only certain vowel sequences undergo such a deletion? If so, that could provide evidence that there is something in the grammar that favors particular vowel sequences.

user6726
  • 83,066
  • 4
  • 63
  • 181