Excerpt from chapter 7, "Contract creation":
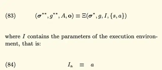
All symbols in the picture above have been clearly defined prior to chapter 7. I couldn't find though a specific explanation for what a stands for, as per the inclusion in {s,a} and Ia = a in definition 83 and 84, respectively.
It is explained that I is the execution environment - and that's cool! We could consequently deduce that a should be the account being created, but I cannot ascertain this because a has only been vaguely specified in the definition of the world state. That is, σ[a] (sigma of a).
Is a the resultant account of the contract creation call?


