The Hercules–Corona Borealis Great Wall is "to date (February 16, 2015), it is the largest and the most massive structure known in the observable universe" (source). How many galaxies is the Hercules–Corona Borealis Great Wall believed to contain?
1 Answers
I'm sorry for the long answer. The result is in the bottom. :)
The number of galaxies in the "wall", as in any volume of space, is the number density $n_{\mathrm{gal}}$ times its volume $V_{\mathrm{wall}}$. However, the number density of galaxies depends on their masses/sizes: Small galaxies are much more common than large galaxies. Usually we describe this by the halo mass function (HMF), which gives the (differential) number density dN/dM of dark matter halos hosting galaxies as a function of halo mass M. Depending on your favorite cosmology, it looks something like this (created with this tool):

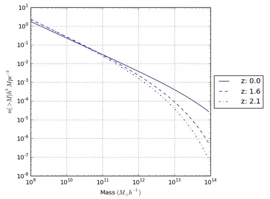
The solid line shows the HMF today in the local Universe, i.e. at redshift zero, while the dashed and dotted line shows how it was at redshift 1.6 and 2.1, respectively, roughly 10 billion years ago, which mark the beginning and end of the wall (according to Horváth et al. 2014, A&A, 561, L12). Notice how the number of large halos grow with time, at the expense of small halos. This is due to the smaller ones accreting onto larger ones.
The HMFs are characterized by a power law at low masses with an exponential cut-off at high masses. To get the total number density we need to integrate over the entire range of masses, and here comes the problem: Whereas the upper limit is set by the maximum size a galaxy can have (roughly $3\times10^{13}M_\odot$, but the exact number isn't very important, as these galaxies are so rare), the lower limit depends on your definition of a galaxy. Large galaxies have smaller galaxies orbiting as satellites, and there isn't a well-defined threshold for when a clump of gas, stars, and dark matter is called a galaxy. These guys report on the detection of a $\sim10^3M_\odot$ clump which they call a galaxy. That's probably not what you think of as a galaxy, so for the sake of this exercise, let's use Small Magellanic Cloud-sized galaxies as our lower minimum, i.e $\sim 6.5\times10^9 M_\odot$.
The total number density of galaxies is thus found by integrating the HMF. Luckily, the online HMF tool can do that as well. The result, i.e. the number density of halos above a given mass, looks like this:

Note that the $x$ axis is given in terms of $h^{-1}M_\odot$. Since $h \simeq 0.7$, the mass of the SMC is $M_\mathrm{SMC} \simeq 5\times10^9 h^{-1}M_\odot$. From the graph, the number density of these objects is $\sim0.5\,h^3\mathrm{Mpc}^{-3} = 0.17\,\mathrm{Mpc}^{-3}$ (1 Mpc, or megaparsec, equals 3.26 million lightyears). In principle we should subtract the number density of halos above $3\times10^{13}M_\odot$, but since these are four orders of magnitude smaller, they can be neglected.
The wall starts at redshift ~1.6 and ends at redshift ~2.1. This translates into starting at a distance of 4.65 Gpc (billion parsec) and ending at 5.47 Gpc, i.e. a depth of ~800 Mpc. These numbers are in comoving coordinates, i.e. what it has expanded to today, as opposed to physical coordinates, i.e. what it was at the time it emitted the light that we see today. But the HMF is given in terms of comoving volume, so that's cool.
To get the volume, we also need the area. The finders report that it's roughly 2 Gpc times 3 Gpc, but they don't seem to state whether this is in physical or comoving coordinates (which differ by a factor (1+z) ~ 3). I suspect it's comoving, though.
Thus, the total volume is $V_{\mathrm{wall}} = 0.8 \times 2 \times 3\,\mathrm{Gpc}^3 = 4.8\,\mathrm{Gpc}^3 = 4.8\times10^9\,\mathrm{Mpc}^3$, or 166 cubic gigalightyears. Here, I have ignored the fact that the physical area spanned by the angle of observation is a bit different at the front and the back of the wall, but since these numbers are already quite uncertain, it's of lesser importance.
The considerations above are all for the average Universe. But the wall represents an overdensity in space, so the number will be larger. I can't find any estimates of the overdensity of this particular supercluster, but in general galaxies in superclusters are more numerous by a factor of $\delta \sim 5$–$10$. Let's use 5.
That is, the total number of galaxies the size of the Small Magellanic Cloud or above is $$N_\mathrm{gal,tot} = n_\mathrm{gal} \times V_\mathrm{wall} \times \delta$$ $$= 0.17\,\mathrm{Mpc}^{-3} \times 4.8\times10^9\,\mathrm{Mpc}^3 \times 5$$ $$\sim 4 \mathrm{\,billion\,galaxies}.$$
But if you go through the same exercise for halos of masses above, say, $10^3\,M_\odot$, you'll find a number which is a million times larger.
In reality, the number density of luminous galaxies is smaller. At the high-mass end, the gas has trouble cooling sufficiently to condense and create stars, and active galactic nuclei in massive galaxies heat the gas. At the low-mass end, gas is more easily blown out of the potential well by stellar feedback from supernovae.
- 38,164
- 110
- 139
-
Oops, forgot to account for the fact that the Wall is more dense than the average Universe. I just updated the answer including this factor. – pela Feb 18 '15 at 08:14
-
I agree regarding your measurement of the number of galaxies in the Hercules Corona Borealis Great Wall (maximum of 4 quadrillion galaxies, on average, the size of the Small Magellanic Cloud). Seems pretty reasonable. Especially by taking into account, as you do, the dark matter that anchors the galaxies. If you take the dark matter as the scaffolding of the galaxies, the number of matter dark and light, that will be involved, can be in the order of 10 to the 20th. I call this number a Ventillion, inclusive of 4 Quadrillion of luminous matter. Question of Philosophy a la Teilhand de Chardin: i – Aug 02 '15 at 19:29
-
1Um... okay… – pela Aug 04 '15 at 14:30