I have read/played a couple of "Choose your own adventure"-style book and am interested in the process of creating one.
Where can I find (preferrably free) online resources, such as How-To-Write or styleguide articles and blogs, about writing a "Choose your own adventure"-style books?
The main reason for asking specifically about a this type of book is that I am having problems with the idea of creating a branched storyline and would like to see what common ways are for creating such a story. I have asked about this on a similar question about online resources for a visual novel, but there are a few things that are quite different when thinking about "Choose your own adventure" books.
For example I have never seen such a book that was not written in the First Person. I think that may be due to the fact that you want your reader feel like a player that has to decide for themselves and thereby you are making the story feel more alive for them - it's their adventure after all. But I would love to see whether there are any sort of studies or counterexamples for this and what the recommendations are.
There is also the question about how to format the transition whenever the reader has to decide what he wants to do. Do you put it in a little box on the side where? Do you make each block as a visible block? Are there recommendations such as "You should preferrably use complete pages/half a page for each block"?
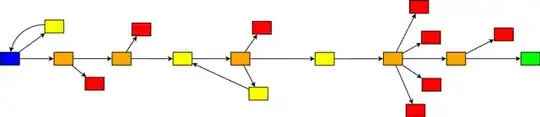
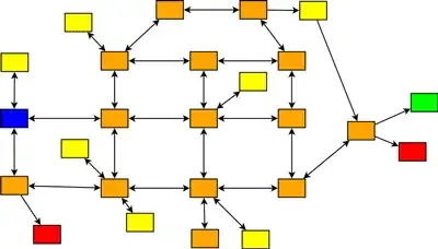
Furthermore I have sometimes seen that the different paths don't seem to be in any particular order. It looked like the authors first wrote the book with a handful of different endings and then decided to obfuscate everything by letting blocks switch place - which makes it more interesting because you never know when you are getting close to The End. Again, I am looking for resources that talk about preferred techniques and possibly tools that may assist with this.
Discussions about the length may be interesting, too, as most of these books I have seen are relatively short for a book. But then again, it's quite the work to not only write the story as it plays out in your head, but to give the reader some agency, formatting the book the correct way, coming up with multiple endings, ... The resources would preferrably talk about the average length of such books compared to novels.
I have seen this question: I want to write a Choose Your Own Adventure styled e-book, what's a good approach?, but it focuses on writing a technical guide that is displayed as a digital document that allows readers to use for example hyperlinks to get from point A to point C to point B, whereas I am looking for different genres such as mystery, fantasy, ... in a printed form where the reader turns pages as instructed (or not, depending on your reader) and specifically about online resources, such as discussion forums, guides and tools, that would help with the process of creating such a book.





