Background
I was pondering my answer to this question. I asked myself, "Why would I only do a 45-minute burn and then float for 3 months to get to Mars?". Then I answered, "Because you only have so much reaction mass; you can't let it rip for three months straight."
But is that really a good answer? Spaceships today just burn once then cruise, but they are also small. Will the space freighters of the future use the same principles?
Assumptions
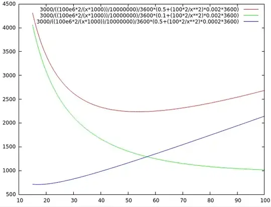
Your power source is a Fission-Brayton cycle system. Fuel costs must be accounted for when calculating how long to burn. The engine is replaced as a single unit with all fuel included and costs 5000 bars of gold pressed platinum (bogl); its service life is 10,000 hours operating at full power (100 MWe). Only the full power hours during burn need be accounted for.
Your engine is a bank of Magnetoplasmadynamic Thrusters. These engines have variable impulse at full power. High impulse setting is a specific impulse of 100 km/s and 1 kN thrust for a fuel usage rate of 0.01 kg/s. Low impulse setting is a specific impulse of 15 km/s and 7.5 kN thrust with fuel use rate of 0.5 kg/s for a Fuel (lithium) costs 2 bogl per (metric) ton.
Your vessel will be manned. Each crewmember must be paid 1 bogl per year. The above configuration requires an engineer officer on watch at all times and thus takes a crew of 6. The longer the trip takes, the more you have to pay the crew.
Your cargo plus the weight of spacecraft is 10,000 tons, not including your lithium reaction mass.
Your goal is to fly from Earth to Mars (225 million km) starting in geostationary orbit of Earth.
Question
What burn profile (firing engines at high or low impulse, for how long, in what sequence) will get you from Earth to Mars minimizing both the time and cost it takes to get there?
NOTE: This is a math problem. A correct answer will use the above assumptions and numbers. You can substitute your own systems and assumptions with good reasoning, but only systems that have a working prototype can be used, and assumptions about power output, etc. must be justified.
NOTE2: Time and cost cannot both be minimized at the same time. A correct answer will provide reasoning about how to prioritize each factor against the other.
NOTE3: Remember, you have to decelerate!

