I'm making this whole other alien world and I made it an ammonia world, so there is a lot of nitrogen in the atmosphere. Would nitrogen be a good gas to breathe in an ammonia world and would Cobalt be a good transporter element in the blood?
- 44,753
- 7
- 97
- 214
- 401
- 4
- 6
-
1Welcome to Worldbuilding, Randy Smith! If you have a moment, please take the [tour] and visit the [help] to learn more about the site. You may also find [meta] and The Sandbox (both of which require 5 rep to post on) useful. Here is a meta post on the culture and style of Worldbuilding.SE, just to help you understand our scope and methods, and how we do things here. Have fun! – Gryphon Aug 06 '18 at 01:41
-
What do you mean by "ammonia world'? – RonJohn Aug 06 '18 at 01:44
-
Sorry, a world where ammonia replaces water – Randy Smith Aug 06 '18 at 01:46
-
But ammonia's boiling point is −33.34 °C. Even if cobalt and ammonia would work, that's so cold that chemical reactions are really slow. – RonJohn Aug 06 '18 at 02:09
-
Possible duplicate of https://worldbuilding.stackexchange.com/questions/29386/an-ammonia-not-water-based-alien-race-that-breaths-hydrogen-is-it-believabl – RonJohn Aug 06 '18 at 02:10
-
Yes ammonia boils at -33C, but it remains a gas at temperatures above that too. It would preclude ammonia lakes and ammonia snow, but there's no reason the atmosphere couldn't be largely ammonia, as the question asks about respiration, while still being very warm. After all, the boiling point of O2 is -183C, but we still breathe it. I think the point about boiling (if you'll excuse the wordplay) is a good one for the broader question, "Could ammonia make a good replacement for water as the solvent for life," and in that case I think the reaction rate argument is a strong one. – realityChemist Aug 06 '18 at 12:40
-
2@RonJohn, that question is specifically about hydrogen as a breathing gas. So, some overlap, but it's not a duplicate. – Brian Minton Aug 06 '18 at 14:57
-
3I have to strongly disagree on the reaction rate argument. There are plenty of reactions used by Earth life that are unusably slow at our standard temperatures and pressure without catalysis, but which we manage to use just fine because we have enzymes. The reactions of our biochemistry would not work well at -33C, but that doesn't mean there aren't other reactions, or different sets of enzymes, that would work perfectly well at those temperatures. – Logan R. Kearsley Aug 06 '18 at 17:26
-
Re "Would nitrogen be a good gas to breathe": Just to be clear - is there a net inflow or a net outflow of nitrogen? – Peter Mortensen Aug 06 '18 at 18:15
-
1@Gryphon If I may suggest, before you put that comment, please tell them what was wrong, what was lacking, just putting it there will not make the user understand if he did something wrong, does he lack something, or even what is the point of that comment, just putting it there because its his first question is, frankly, irrelevant without reason. – Mr.J Aug 07 '18 at 07:44
-
I bet this question is actually intended as a roundabout way to get answers to a homework question about the mechanisms involved with bonding nitrogen with cobalt, and oxygen with iron. Next time I have chemistry homework, you guys are gonna see, "would this be plausible in an alien digestive tract?". (jk) – boxcartenant Aug 08 '18 at 00:13
6 Answers
I think ammonia would be a good gas to breathe in an ammonia world. There is a lot of it handy, I would imagine. As opposed to N2 which is sort of an ice queen and reluctant to mix it up with other molecules, NH3 has 3 promiscuous hydrogens hanging off, ready to get busy. And NH3 protonates easily to NH4+, opening a whole other range or repertoires.
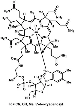
Cobalt. Great choice! I suspect you might know some chemistry.
Behold B12:
https://www.whoi.edu/page.do?pid=37478
B12 has at its heart a cobalt atom bound to 5 nitrogens and one something else. The structure of B12 has a vibe reminiscent of hemoglobin with iron or chlorophyll with magnesium, and a B12 type molecule with a cobalt heart could definitely function as a NH3 carrier.
-
2I am always amazed by your answers, and this one is so far my favorite. I am now imagining other globines (b12-like ones), such as the mioglobine equivalent for such a biochemistry. – The Square-Cube Law Aug 06 '18 at 02:32
-
3You wrote "B12 has at its heart a molecule of cobalt". Did you mean an atom of cobalt? Or did I just misunderstand? – BrettFromLA Aug 06 '18 at 14:27
-
4Ammonia is the water-replacement solvent, and nitrogen is the oxygen-replacement. The question is asking if you'd breathe nitrogen and use it as an oxidizer in your 70% liquid ammonia body. – RonJohn Aug 06 '18 at 17:01
-
3@BrettFromLA: "atom of cobalt" is correct and so much cooler sounding. It just rolls off the tongue. Atom of cobalt... atom of cobalt... I was going to leave it as I wrote it and leave you the credit here in the comments but I see now it has been corrected. Thank you! – Willk Aug 06 '18 at 19:56
-
@Willk I didn't change it, but I'm glad you like how cool it sounds. ;-) – BrettFromLA Aug 07 '18 at 12:52
-
@RonJohn - I was thinking "ammonia breather" like humans are "oxygen breathers" even though most of what we actually inhale is N2. N2 carrier gas would be fine for ammonia world also. Using ammonia (especially ammonium) instead of O2 could work except it would be in a reducing anaerobic world instead of an oxidizing world like we have on the surface of earth. – Willk Aug 07 '18 at 15:09
-
-
@Jake - ug. Yes. How embarrassing. At least it begins with m. You found it; go ahead and correct it. – Willk Aug 07 '18 at 18:44
Nitrogen is a terrible gas to breathe. A molecule of nitrogen is two atoms, triple-bonded together. If you want to use nitrogen for respiration, you need to break that bond so the nitrogen atoms can react with other molecules. However, this is an extremely strong bond: one of the strongest in all of chemistry. You have to put in vast amounts of energy to break that N-N bond.
The amount of energy you need is exactly the same as the amount of energy that's released when that bond forms. Most modern explosives (e.g., TNT, RDX, etc.) work essentially by having a bunch of nitrogen atoms in a molecule. When you poke it, the molecule rearranges itself so that the nitrogens come together and form triple bonds with each other to make nitrogen gas. A large fraction of the energy from the explosive comes from the formation of those N-N triple bonds. This is the energy you'd have to put back in to break the bond.
So, although it's not literally true, a good way to think about this is that respiring with nitrogen would require you to "un-explode TNT", putting back most of the energy you got from exploding it in the first place. And respiration is supposed to give you energy, not consume it!
- 2,535
- 16
- 24
-
1I'm not sure if he's thinking of breathing ammonia. (But you're right; it's relative inertness is why gaseous nitrogen isn't a part of respiration.) – RonJohn Aug 06 '18 at 11:54
-
1@RonJohn The question says “Would nitrogen be a good gas to breathe?”, though there’s also discussion of ammonia. – David Richerby Aug 06 '18 at 11:56
-
-
1I'm not sure you actually need to break the triple bond as opposed to e.g. form a compound with a double N bond in it, but I'm not a chemist so perhaps you could comment on that ? – StephenG - Help Ukraine Aug 06 '18 at 15:08
-
2@StephenG I'm not a chemist, either. I don't know how plausible that would be but I imagine any such compound would still get a big energy benefit from returning to the N-N triple bond. – David Richerby Aug 06 '18 at 15:15
-
2Nitrogen + 3 fluorine has a negative enthalpy of formation (generates heat), so by eating food with elemental fluorine and the right catalysts it could work. This is Worldbuilding after all. – Peter Mortensen Aug 06 '18 at 18:33
While it is true that N2 requires a lot of energy to dissociate, it's not impossible. On Earth, legumes have bacteria that fixate N2 into other compounds. Your planet could similarly have organisms that use the energy in starlight to fixate N2. In fact, the high energy required could be what drives metabolism on your world.
You don't need to bother with a carrier molecule. N2 is very soluble in ammonia (0.1124 vol/vol). Source: https://pubchem.ncbi.nlm.nih.gov/compound/nitrogen#section=Solubility
A few other tidbits that may be useful for your world:
- Your planet will be colder than Earth. Ammonia is a liquid between -78°C and -33°C. Chemical reactions will thus be slower: about (225 K / 300 K) = 75% as fast.
- Ammonia has a good heat capacity and heat of vaporization. This means organisms can use their sap or blood to transport and dissipate heat, and also to sweat.
- Ammonia is an excellent solvent. Ammonia is a polar molecule and will therefore dissolve other polar molecules such as water. Alkali metals such as sodium and potassium easily ionize, producing blue solutions that would give your planet's oceans a blue color. Other salts (such as those based on calcium and magnesium) also ionize easily.
- Life will probably still be cellular. Hydrocarbons and lipids have been shown to form abiotically. They are nonpolar, and thus instead of dissolving in ammonia, they will form membranes, allowing the formation of enclosed spaces (cells).
- Ammonia has an acid-base chemistry. It self-dissociates into an ammonium cation and an amide anion. The equilibrium constant of this reaction is about $10^{-30}$. As such, pH will range from 0 to 30, with 15 being a neutral solution. Many organic compounds undergo acidic or alkali reactions when dissolved in ammonia, forming polar compounds and thus becoming soluble.
- If there is any H2O present, whatever doesn't dissolve in your oceans will freeze and sink to the bottom. The density of water ice is 917 kg/m3, whereas the density of ammonia is 682 kg/m3.
- Whatever water does dissolve will be a moderate acid. Organisms would find the taste of water irritating, just as we consider ammonia's smell to be irritating.
- On Earth, oxygen is the metabolic element. Its molecular form (O2) is an atmospheric gas and its hydride (H2O) forms the oceans. On your planet, nitrogen is the metabolic element. Its molecular form (N2) is an atmospheric gas and its hydride (NH3) forms the oceans.
- In order to build practical organic molecules, you need both nitrogen and oxygen. On Earth, nitrogen occurs as N2 in the atmosphere, and certain bacteria "fix" it into organic molecules. On your planet, oxygen would occur mostly as H2O on the sea floor, with certain bacteria "fixing" it into organic molecules.
- Don't bother with O2 in your atmosphere; it's too reactive. Let the ice at the bottom of the ocean be the reservoir of oxygen atoms.
I suggest the name "Amina" for your planet.
Indeed, had Earth been colder so the water froze and ammonia instead became the oceans, life could have evolved in this manner.
- 2,122
- 1
- 10
- 26
-
On Earth, nitrogen fixation (to ammonium) requires a lot of energy not because ammoni(a/um) is a higher energy than N2, but because Earth mostly has no free H2; the H atoms need to be pulled off of water, and THAT requires a lot of energy. – brendan Aug 08 '18 at 23:58
-
Ammonia can be liquid even at 113C, it depends also on the pressure. Construct a huge atmosphere. – Gray Sheep Mar 26 '24 at 00:18
tldr; I think that, on an anaerobic ammonia-ocean world, hydrogen is probably the best choice for a respiratory gas.
Why we breathe oxygen
Oxygen reacts more or less strongly with the other major elements involved in life (and, in fact, most other elements, fluorine being the exception). Allowing for the additional presence of hydrogen, all of the following reactions produce energy1: $$H_2 + \frac{1}{2}O_2 \to H_2O \quad(\text{water; }\Delta H=-286J/mol)$$ $$C_{s} + O_2 \to CO_2 \quad(\text{carbon dioxide; }\Delta H=-572J/mol)$$ $$\frac{1}{2}N_2 + \frac{1}{2}H_2 + \frac{3}{2}O_2 \to HNO_3 \quad(\text{nitric acid; }\Delta H=-207J/mol)$$ $$P_s + \frac{3}{2}H_2 + 2O_2 \to H_3PO_4 \quad(\text{phosphoric acid; }\Delta H=-1288J/mol)$$ $$\frac{1}{8}S_8 + H_2 + 2O_2 \to H_2SO_4 \quad(\text{sulfuric acid; }\Delta H=-814J/mol)$$ $$K_s + \frac{1}{2}H_2 + \frac{1}{2}O_2 \to KOH \quad(\text{caustic potash; }\Delta H=-426J/mol)$$ $$Na_s + \frac{1}{2}H_2 + \frac{1}{2}O_2 \to NaOH \quad(\text{lye; }\Delta H=-427J/mol)$$
Here I chose the most common non-organic form in an aerobic environment with water, although in the presence of water the acids and bases will dissociate, forming stable ions and releasing even more heat. In all of these cases, the enthalpy change $\Delta H$ is negative, meaning that the product has less enthalpy than the reactant, so heat is released and the reactions are exothermic. Another way to say this is that all of these chemicals burn in oxygen.
This is remains true of more complex compounds formed from these elements, including some oxygen. Carbohydrates, proteins, fats, nucleic acids; everything life is made of burns in oxygen. This is exactly why we can get energy from food by combining it with oxygen.
But if oxygen is so reactive with everything, why do we even have it in the atmosphere?
As mentioned in at least one other answer, the presence of molecular oxygen on a planet, in combination with these other elements, is a good sign of the presence of life, because over geological time, the oxygen would react with the rest of the planet. In the case of Earth, oxygen is produced by photosynthesis, which takes energy in the form of sunlight and converts it to energy in the form of oxygen + fixed carbon. We tend to think of the fixed carbon as the energy source, because that it the part that the organism holds on to, and oxygen is everywhere "for free". But there is nothing inherently energetic about glucose; it's only a store of energy because there is oxygen to combine it with.
For the rest of the discussion, I have completely left out oxygen and oxygen compounds. Of course, oxygen is a perfectly fine respiratory gas on an ammonia world! Water would be a mineral, though one which was not particularly rare, and which was quite soluble in ammonia. But, it is clear that you are looking for something different, so we will assume that none of the biochemical processes on your planet are energetic enough to break down water. (Although, some oxygen-containing organic compounds, such as alcohols, should still be possible.)
The problem with nitrogen
As other answers have stated, nitrogen is just not as reactive as oxygen. It's hard to even think of the equivalent reactions with nitrogen instead of oxygen, because they aren't stable on Earth, with one exception:
$$\frac{3}{2}H_2 + \frac{1}{2}N_2 \to NH_3 \quad(\text{ammonia; }\Delta H=-46J/mol)$$ $$2C_s + N_2 \to (CN)_2 \quad(\text{cyanogen; }\Delta H=+309J/mol)$$ $$C_s + \frac{1}{2}H_2 + \frac{1}{2}N_2 \to HCN \quad(\text{hydrogen cyanide; }\Delta H=+110J/mol)$$ $$P_s + \frac{1}{2}N_2 \to PN \quad(\text{phosphorus mononitride; }\Delta H=-???J/mol)$$ $$\frac{1}{2}S_8 + 2N_2 \to S_4N_4 \quad(\text{tetrasulfur tetranitride; }\Delta H=+460J/mol)$$ $$3K_s + \frac{1}{2}N_2 \to K_3N \quad(\text{potassium nitride; }\Delta H=+???J/mol)$$ $$3Na_s + \frac{1}{2}N_2 \to Na_3N \quad(\text{sodium nitride; }\Delta H=+???J/mol)$$
Cyanogen and Hydrogen cyanide would be liquids on your planet. Hydrogen cyanide is a weak acid with (aqueous) $pK_a$ and density extremely close to that of ammonia. I suspect it is soluble or even miscible in ammonia, but I am not sure. Cyanogen is probably less so.
Phosphorus mononitride is a gas found in the atmosphere of Jupiter, but there's no properties listed. Based on its presence in Jupiter's atmosphere, I assume it is stable with respect to $N_2$ and solid $P$ (or it would decompose into them) and that it is a gas at liquid ammonia temperatures.
Tetrasulfur tetranitride is an explosive solid.
Sodium and potassium nitride are highly unstable.
Hydrogen cyanide is an interesting candidate for an oxidizing agent in your world. It reacts with a wide variety of organic compounds to produce energy. However, this process doesn't really break the compounds down; rather it attaches even more cyanide groups.
Hydrogen to the rescue
Hydrogen combines with most common elements to form simple, stable compounds.
$$C_s + 2H_2 \to CH_4 \quad(\text{methane; }\Delta H=-75J/mol)$$ $$\frac{1}{2} N_2 + \frac{3}{2}H_2 \to NH_3 \quad(\text{ammonia; }\Delta H=-46J/mol)$$ $$\frac{1}{8} S_8 + H_2 \to H_2S \quad(\text{hydrogen sulfide; }\Delta H=-21J/mol)$$ $$P_s + \frac{3}{2}H_2 \to PH_3 \quad(\text{phosphine/phosphane; }\Delta H=+5J/mol)$$ $$Na_s + \frac{1}{2}H_2 \to NaH \quad(\text{sodium hydride; }\Delta H=-56J/mol)$$ $$K_s + \frac{1}{2}H_2 \to KH \quad(\text{potassium hydride; }\Delta H=-54J/mol)$$
In most of these reactions, hydrogen is a reducing agent, rather than an oxidizer like oxygen (but it is an oxidizer in the last 2).
Furthermore, more complicated organic molecules can also be broken down by hydrogen for energy profit:
$$(CH_3)_2 + H_2 \to 2CH_4 \quad(\text{ethane; }\Delta H=-66J/mol)$$ $$NH_2CH_3 + H_2 \to CH_4 + NH3 \quad(\text{methylamine; }\Delta H=-97J/mol)$$
Do note that this is a substantially lower energy scale than we get with oxygen: $$(CH_3)_2 + \frac{7}{2}O_2 \to 2CO_2 + 3H_2O \quad(\text{ethane; }\Delta H=-1562J/mol)$$ $$NH_2CH_3 + \frac{3}{2}O_2 \to CO_2 + NH_3 + H_2O \quad(\text{methylamine; }\Delta H=-702J/mol)$$ In combination with the low temperature, this means that life would happen VERY SLOWLY.
Importantly, hydrogen is a gas at the low temperatures of an ammonia world. However, you will need a big planet with a strong gravitational field in order to hold on to it; this will mean high surface pressure, and apparently hydrogen is quite soluble in ammonia at high pressure. Fortunately, hydrogen is the most common element in the universe, so any planet large enough to hold on to it usually has plenty.
See also some other discussion at the question about that, although I obviously disagree with the accepted answer.
1: All values from the respective compound pages on Wikipedia. I used enthalpies instead of Gibbs' free energy, which would be more appropriate, because most compounds didn't have Gibbs' free energy listed. Gibbs' free energy could in principle be calculated from the enthalpy and entropy, which was given, but I couldn't find entropies for the free elements. Additionally, all of these are at standard temperature and pressure, which is not exactly relevant to an ammonia world. In most cases the signs should be the same, but if you really want to be hard science fiction, you could try to figure out the corrections.
- 603
- 3
- 8
N2 is a stable low-energy compound. It will be produced, so there must be a way to remove it as part of the cycle. If you want it to replace O2, it's natural to want to do it with photosynthesis. This may be an issue, because if it takes high-energy ionizing radiation to do it, that could continually mess up the other compounds and catalysts needed for life.
Maybe it could be done in steps, that each can be done with lower-energy light.
My first stab at the first step would be 2 N2 + 2 NH3 -> 3 N2H2
Probably the ammonias would be bonded to something like we use acetyl-CoA instead of just acetate. Four reactants at once doesn't look plausible either, but diimide is the end product I want.
So you go from something totally unreactive, to something very reactive with a double bond that can be broken later.
I expect a real chemist could show why this is not workable and suggest something better. But the fundamental idea is right. You start with an energy source and convert N2 to something that has more energy. And later when you want to use energy, you take something like ammonia and pull off the hydrogens to stick them onto something else, and get low-energy N2 back. For example:
2 C2H2 + 2 NH3 -> 2 CH4 + 2 N2. Acetylene to methane and ammonia to nitrogen. And you have a way to use the released energy.
- 1,281
- 5
- 8
In short: absolutely no.
And you're missing the point of oxygen:
Oxygen is an atmospheric pollutant on earth. No planet could ever have oxygen in its atmosphere without life. Life creates it and everything reacts with it eventually. If you ever found oxygen with a telescope you found life on a distant world. The word oxidation is called that for a reason: It is oxygen's ready ability to "react" to break up hydrocarbons in the body that gives it its value as fuel. And it is fuel.
Conversely nitrogen is not an atmospheric pollutant - it is common throughout the universe as is hydrogen and CO2 and it is a very inert gas and has no value as an oxidiser. So it has no fuel value. Using ammonia only "seems" plausible because of its behaviour at low temperatures resembles water (to a small degree), but if you put it under analysis the equivalency between ammonia and water is merely a facade: water has far more properties than ammonia.
Ammonia does not (like water):
- expand upon freezing (no "ice" floating as a skin acting as an insulator)
- possesses far lower specific heat capacity (changes temperature far more)
- is a FAR FAR less of a universal solvent (water dissolves almost everything)
- is only liquid at very much lower temperature temperature (making it yet again exponentially) vastly less useful as a universal solvent, and impeding almost all reactions of solutes
It is for these reasons that is is considered there is literally no theoretical possible substitute for water/oxygen in terms of life in terms of the astonishing solvent properties of water and ionic bond handling and oxidation energy recoup of metabolising via oxygen.
Ammonia Silicon based life forms (organic life forms) are genuinely being revealed as complete non starters (on a level with using plutonium/helium/throws dart at the periodic table), and died as a source of hard science fiction along with the Drakes Equation in the 70's and 80s'
- 273
- 1
- 5
-
1It's very disingenuous of you to delete your answer along with my comments on it, and then post the same answer again. So... here we go again. 1) I'm not sure what argument you're trying to make by claiming "The word Oxidation is called that for a reason". 2) We don't eat hydrocarbons or use them as fuel in our bodies. 3) Oxygen is not considered to be a fuel. 4) Claiming that "water has far more properties than ammonia" is meaningless because "does not expand upon freezing" is a property just as much as "does expand upon freezing" is. – David Richerby Aug 06 '18 at 16:47
-
it's not disingenuous. It was important to focus on the answer. Thank you for your comments I have clarified them (with your generous help!) to illustrate the substantive nature of this answer.
Hydro Carbons in the body(organic chemistry) !=hydrocarbon(inorganic chemistry terminology) Oxygenisa fuel because it reacts. It's why you breathe. It's a waste product of plants and it is a binary component of the reaction: i.e. necessary fuel. – Mr Heelis Aug 06 '18 at 16:49 -
You haven't clarified anything: as anyone with enough reputation to see deleted answers can see, you've added some bullets to the end, which do nothing to address your meaningless "more properties" claim. In future, if you wish to edit your answer, edit it, instead of deleting. Hydrocarbons are, by definition organic chemistry. "Organic chemistry" does not mean "chemistry within living organisms"; it means, more or less, the chemistry of covalent carbon compounds. – David Richerby Aug 06 '18 at 16:54
-
1"We don't eat hydrocarbons or use them as fuel in our bodies." You're right. We eat carbohydrades (which are not-so-shockingly similar to hydrocarbons). – RonJohn Aug 06 '18 at 16:57
-
3@DavidRicherby and Mr Heelis This conversation is really good content wise but be careful to focus on the concerns and not each other. In short. Be nice – James Aug 06 '18 at 17:03
-
Yes, proteins, nucleotides, carbohydrates and fats do all contain carbon, hydrogen and oxygen. And this is why they're not hydrocarbons: hydrocarbons contain carbon and hydrogen only. – David Richerby Aug 07 '18 at 15:18
-
1I have to quote James: debating the content is fine, the poster not. For more info, refer to this https://worldbuilding.stackexchange.com/conduct – L.Dutch Aug 07 '18 at 15:29
-
1@MrHeelis, Regarding oxygen being necessary, there are anaerobic metabolic pathways that don't require oxygen. Oxidative metabolism is used in most organisms because oxygen is available and it allows for more efficient extraction of chemical energy, but it's not strictly necessary. There are still bacteria around today that live in environments with essentially no oxygen. – Dan Bryant Aug 07 '18 at 17:10