Troponă
Tropona este un compus organic ce prezintă caracter aromatic.[2] Este o cetonă a unui nucleu heptaciclic format dintr-un sistem conjugat, fiind înrudită cu tropolona. Intră în constituția unor compuși naturali, precum: colchicina și hinokitiolul.
| Troponă | |
![]() | |
![]() | |
| Identificare | |
|---|---|
| Număr CAS | 539-80-0 |
| PubChem CID | 10881 |
| Formulă chimică | C₇H₆O[1] |
| Masă molară | 106,042 u.a.m.[1] |
| Sunt folosite unitățile SI și condițiile de temperatură și presiune normale dacă nu s-a specificat altfel. | |
Tropona este cunoscută încă din anul 1951, când era denumită oxid de cicloheptatrieniliu. Denumirea de tropolonă a fost introdusă în anul 1945 de către M. J. S. Dewar în legătură cu proprietățile aromatice.[3]
Structură
Dewar a propus în 1945 faptul că troponele ar avea proprietăți aromatice. Grupa carbonilică este polarizată, ceea ce induce o sarcină parțială pozitivă la atomul de carbon (A) și o sarcină parțială negativă la atomul de oxigen. În unele cazuri extreme, atomul de carbon prezintă o sarcină pozitivă completă (B) formând un ion tropiliu, care este de fapt un sistem aromatic cu 6 electroni (C).[4]
Structurile troponei
Obținere
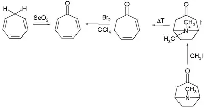
Există diverse metode de sinteză organică a troponei și a derivaților săi. Câteva exemple sunt sinteza prin oxidare cu dioxid de seleniu a cicloheptatrienei[5] și reacția de eliminare Hofmann urmată de bromurare a tropinonei:[2]
Tropone synthesis
Metode de sinteză pentru tropolonă includ bromurarea 1,2-cicloheptanedionei cu N-bromosuccinimidă, urmată de dehidrohalogenare la temperaturi ridicate și reacția de condensare aciloinică a esterului etilic al acidului pimelic, al cărei produs de reacție se oxidează cu brom:[2]
Tropolone synthesis
Proprietăți chimice
- Tropona suferă o reacție de reducere a ciclului la acid benzoic, în prezență de hidroxid de potasiu, la temperaturi ridicate. Mulți derivați se transformă în mod similar la arenele corespunzătoare.[2]
- Tropona suferă o reacție de substituție electrofilă cu brom, însă reacția prezintă ca intermediar un produs de adiție, deci nu este o reacție de substituție electrofilă aromatică:[2]
Bromurarea trponei
- Troponele suferă reacții de substituție nucleofilă în mod similar cu o reacție de substituție nucleofilă aromatică:[2]
SN tropone
- Tropona poate să participe ca dienă în reacții Diels-Alder, de exemplu cu anhidrida maleică.[2]
Note
- „Troponă”, Tropone (în engleză), PubChem, accesat în
- Pauson, Peter L. (). „Tropones and Tropolones”. Chem. Rev. 55 (1): 9–136. doi:10.1021/cr50001a002.
- M. J. S. Dewar (). „Structure of Stipitatic Acid”. Nature. 155 (3924): 50–51. doi:10.1038/155050b0.
- „C-13 Chemical Shifts - Tropone and Tropylium”, chem.wisc.edu, accesat în
- Dahnke, Karl R.; Paquette, Leo A. (). „Inverse Electron-Demand Diels-Alder Cycloaddition of a Ketene Dithioacetal. Copper Hydride-Promoted Reduction of a Conjugated Enone. 9-Dithiolanobicyclo[3.2.2]non-6-en-2-one”. Org. Synth. 71: 181.

