Semisinteză
Semisinteza sau sinteza chimică parțială reprezintă sinteza chimică ce include utilizarea unui compus inițial, obținut din surse naturale (precum bacteriene sau vegetale), pentru a obține un produs semisintetic derivat al acestui compus natural.
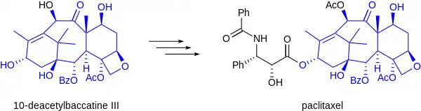
Un exemplu clasic este procesul de semisinteză al paclitaxelului, care se obține ca urmare a acetilării și a altor reacții, plecând de la compusul natural 10-dezacetilbaccatina III:[1]

Note
- Goodman, Jordan; Walsh, Vivien (). The Story of Taxol: Nature and Politics in the Pursuit of an Anti-Cancer Drug. Cambridge University Press. pp. 100f. ISBN 978-0-521-56123-5.
This article is issued from Wikipedia. The text is licensed under Creative Commons - Attribution - Sharealike. Additional terms may apply for the media files.