Sinteză asimetrică
Sinteza asimetrică (denumită și sinteză enantioselectivă) este un tip de sinteză chimică în care are loc o sinteză steroselectivă a unor compuși chirali (se obțin produși stereoizomeri, mai exact enantiomeri sau diastereomeri) în cantități inegale.[1][2] Sinteza asimetrică este un proces cheie în industria chimică modernă, fiind în special importantă în domeniul farmaceutic, deoarece pentru moleculele care prezintă stereoizomerie, fiecare stereoizomer prezintă o activitate biologică diferită.

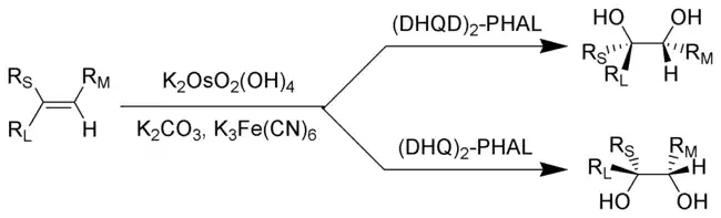
În reacția de dihidroxilare Sharpless, chiralitatea produsul final poate fi dirijată prin controlarea mediului de reacție. Acesta este un exemplu de sinteză asimetrică.
RL = substituentul cel mai mare; RM = substituentul mediu; RS = substituentul cel mai mic;
RL = substituentul cel mai mare; RM = substituentul mediu; RS = substituentul cel mai mic;
Note
- IUPAC, Compendium of Chemical Terminology, Ed. a 2-a („Gold Book”) (1997). Versiune online: (2006-) „asymmetric synthesis”.
- IUPAC, Compendium of Chemical Terminology, Ed. a 2-a („Gold Book”) (1997). Versiune online: (2006-) „stereoselective synthesis”.
Vezi și
This article is issued from Wikipedia. The text is licensed under Creative Commons - Attribution - Sharealike. Additional terms may apply for the media files.