Reacție Sandmeyer
Reacția Sandmeyer este o reacție organică folosită pentru obținerea halogenurilor de aril din săruri de arendiazoniu.[1][2][3] Reacția Sandmeyer este un exemplu de substituție nucleofilă aromatică ce se desfășoară prin mecanism radicalic.
Reacția a fost descoperită în anul 1884 de către chimistul elvețian Traugott Sandmeyer, care a realizat sinteza fenilacetilenei din clorură de benzendiazoniu și acetilură cuproasă. Este o metodă de substituție a unei grupe amino aromatice cu un nucleofil, prin transformarea aminei în sare de diazoniu, la care se va realiza atacul nucleofilului. Reacția se realizează în prezența sărurilor cuproase, de Cu (I). Nucleofilii pot fi: anioni halogenură, cianură, tioli, apă, etc.[4] Reacția nu merge bine pe anionii fluorură, dar există pentru fluorurare o altă metodă: reacția Balz–Schiemann.
Mecanism de reacție
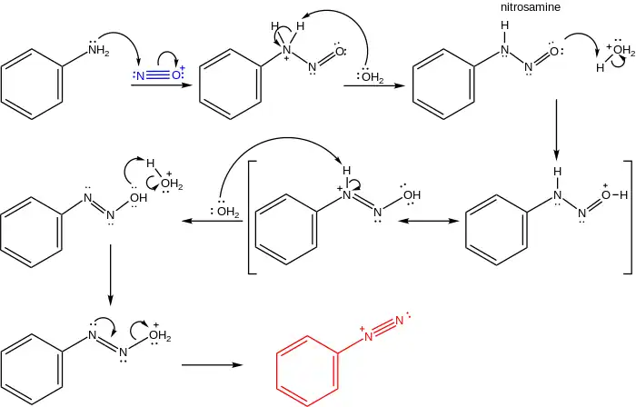
Ca și în cazul reacțiilor de obținere a sărurilor de diazoniu, acidul azotos este preparat de obicei in situ, plecând de la azotit de sodiu (nitrit) care este tratat cu un acid (clorhidric sau sulfuric). Au loc două etape succesive de protonare a ionului azotit, concomitent cu eliminarea unei molecule de apă, pentru formarea ionului nitrozoniu. Acesta are rol de electrofil în reacția cu aminele aromatice, formând sarea corespunzătoare de arendiazoniu printr-un intermediar nitrozaminic.[4] Substituția grupei diazo aromatice cu halogen sau pseudohalogen este catalizată de cuprul (I), formându-se în final un radicalul aril prin eliminarea azotului molecular.[5][6][7][8] Arena substituită se formează printr-un mecanism radicalic, când se regenerează catalizatorul cupros:
- Formarea ionului nitrozoniu
.svg.png.webp)
- Formarea ionului benzendiazoniu

- Reacția finală

Aplicații
Diferite variante ale reacției Sandmeyer au fost dezvoltate cu scopul de a se putea sintetiza diverși compuși. De obicei, aceste reacții au loc prin intermediul unor săruri de aril-diazoniu, iar acestea reacționează cu săruri de cupru (I), dând arene convenabil substituite (se pot obține pe această cale: clorobenzen, bromobenzen, benzonitril, etc.)[9]

Vezi și
- Reacție Balz–Schiemann
Referințe
- Traugott Sandmeyer (). „Ueber die Ersetzung der Amidgruppe durch Chlor in den aromatischen Substanzen”. Berichte der deutschen chemischen Gesellschaft. 17 (3): 1633–1635. doi:10.1002/cber.18840170219.
- Traugott Sandmeyer (). „Ueber die Ersetzung der Amid-gruppe durch Chlor, Brom und Cyan in den aromatischen Substanzen”. Berichte der deutschen chemischen Gesellschaft. 17 (4): 2650–2653. doi:10.1002/cber.188401702202.
- Ludwig Gattermann (). „Untersuchungen über Diazoverbindungen”. Berichte der deutschen chemischen Gesellschaft. 23 (1): 1218–1228. doi:10.1002/cber.189002301199.
- Wang, Zerong (). „Sandmeyer Reaction”. Comprehensive Organic Name Reactions and Reagents (în engleză). John Wiley & Sons, Inc. pp. 2471–2475. ISBN 9780470638859.
- J. K. Kochi (). „The Mechanism of the Sandmeyer and Meerwein Reactions”. J. Am. Chem. Soc. 79 (11): 2942–2948. doi:10.1021/ja01568a066.
- H. H. Hodgson (). „The Sandmeyer Reaction”. Chem. Rev. 40 (2): 251–277. doi:10.1021/cr60126a003.
- Nonhebel, D. C.; Waters, W. A. (). „A Study of the Mechanism of the Sandmeyer Reaction”. Proceedings of the Royal Society A: Mathematical, Physical and Engineering Sciences. 242 (1228): 16–27. Bibcode:1957RSPSA.242...16N. doi:10.1098/rspa.1957.0150.
- Galli, Carlo (august 1988). „Radical reactions of arenediazonium ions: An easy entry into the chemistry of the aryl radical”. Chemical Reviews. 88 (5): 765–792. doi:10.1021/cr00087a004.
- „Sandmeyer Reaction Mechanism - Applications of Sandmeyer Reaction”. BYJUS. Accesat în .
