Dextran
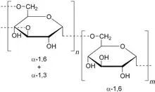
Dextranul este un glucan ramificat cu structură complexă (obținut prin policondensarea glucozei), originar derivat din vin. Legătura glicozidică se face, conform IUPAC, preferențial C-1 → C-6".[1] Mărimea catenei de dextran variază de la 3 la 2000 de kilodaltoni.
Nu confundați cu dextrină.
| Dextran | |
![]() | |
![]() | |
| Identificare | |
|---|---|
| Număr CAS | 9004-54-0 |
| Sunt folosite unitățile SI și condițiile de temperatură și presiune normale dacă nu s-a specificat altfel. | |
Chiar dacă legăturile dintre unitățile de glucoză sunt de tipul α-1,6, ramificațiile sunt legături de tipul α-1,3. Această caracteristică distinge dextranul de dextrină, care are catenă liniară cu legături α-1,4 sau α-1,6 glicozidice.[2]
Utilizări
| Dextran | |
| Identificare | |
|---|---|
| Număr CAS | 9004-54-0 |
| DrugBank | 09255[3] |
| UNII | 05Q25F6XJ3 |
| KEGG | C00372 |
Dextranul 70 se află pe lista medicamentelor esențiale ale Organizației Mondiale a Sănătății.[4] Este utilizat medical ca antitrombotic, pentru a reduce vâscozitatea sângelui, și ca înlocuitor de plasmă în hipovolemie.[5]
Note
- „dextrans”.
- Thomas Heinze, Tim Liebert, Brigitte Heublein, Stephanie Hornig (). „Functional Polymers Based on Dextran”. Adv. Polym. Sci. Advances in Polymer Science. 205: 199–291. doi:10.1007/12_100. ISBN 978-3-540-37102-1.
- Dextran (în engleză), DrugBank, accesat în
- Organizația Mondială a Sănătății (). World Health Organization model list of essential medicines: 21st list 2019 (PDF) (în engleză). Geneva: World Health Organization. hdl:10665/325771
. WHO/MVP/EMP/IAU/2019.06. License: CC BY-NC-SA 3.0 IGO. - Lewis, Sharon L. (). Medical Surgical Nursing (ed. 8th). ISBN 978-0323079150.
This article is issued from Wikipedia. The text is licensed under Creative Commons - Attribution - Sharealike. Additional terms may apply for the media files.

