Acridonă
Acridona este un compus organic, structural având la bază același nucleu dibenzopiridinic ca și acridina. Din punct de vedere chimic este 4-aza-9(10H)-acridona. Unul dintre derivații săi și anume 1-hidroxi-10-metil-9,10-dihidroacrid-9-ona are rezultate deosebit în tratarea infecțiilor cauzate de HIV Arhivat în , la Wayback Machine.
| Acridonă | |
![]() | |
| Identificare | |
|---|---|
| Număr CAS | 578-95-0 |
| ChEMBL | CHEMBL436589 |
| PubChem CID | 2015 |
| Formulă chimică | C₁₃H₉NO[1] |
| Masă molară | 195,068 u.a.m.[1] |
| Punct de topire | 361 °C[2] |
| Sunt folosite unitățile SI și condițiile de temperatură și presiune normale dacă nu s-a specificat altfel. | |
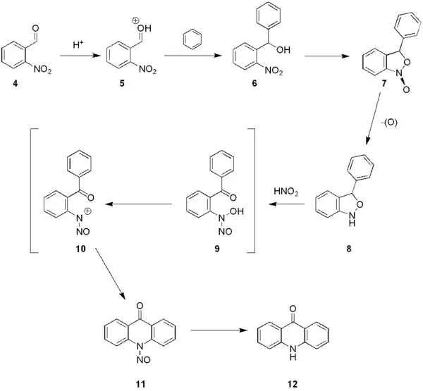
Sinteză

Prima fază a reacției constă în protonarea precursorului (4)2 nitrobenzaldehidă, protonare care are loc în prezența acidului sulfuric.Are loc formarea intermediarului (5), cu caracter electrofilic.Acesta va ataca benzenul sau arena utilizată, cu formarea de benzhidrol (6), care va suferi o reacție de ciclizare în compusul (7) și apoi (8).Tratarea intermediarului cu acid azotos (NaNO2/H2SO4) determină formarea N-nitroz acridonei(11)prin intermediarii 9 și 10, gruparea nitrozo fiind indepărtată in final în mediu acid.

Legături externe
- http://gateway.nlm.nih.gov/MeetingAbstracts/102236577.html Arhivat în , la Wayback Machine.
- http://scripts.iucr.org/cgi-bin/sendcif?ta1053sup1&Qmime=cif
- „Acridonă”, acridone (în engleză), PubChem, accesat în
- Jean-Claude Bradley Open Melting Point Dataset
