Acid ascorbic
Acidul ascorbic este un acid organic cu proprietăți antioxidante. Apare sub forma unei pudre sau unor cristale albe spre galben deschis. Este solubil în apă. Enantiomerul L al acidului ascorbic este cunoscut sub numele comun de vitamina C. În 1937, Premiul Nobel pentru Chimie a fost decernat lui Walter Haworth pentru munca sa în determinarea structurii acidului ascorbic (împărțit cu Paul Karrer, care a primit premiul său pentru munca depusă în domeniul vitaminelor), iar premiul pentru Fiziologie și Medicină, din același an, a fost acordat lui Albert Szent-Györgyi pentru studiile sale în privința funcțiilor biologice ale L-acidului ascorbic.
| Acid ascorbic | |
![]() Formula structurală | |
![]() | |
| Denumiri | |
|---|---|
| Alte denumiri | 2-oxo-L-threo-hexono- 1,4-lactone-2,3-enediol sau (R)-3,4-dihydroxy- 5-((S)-1,2-dihydroxyethyl) furan-2(5H)-one |
| Identificare | |
| Număr CAS | 50-81-7 |
| Informații generale | |
| Formulă chimică | C6H8O6 |
| Masă molară | 176,12 g/mol |
| Punct de topire | 190 - 192 °C (descompunere) |
| Sunt folosite unitățile SI și condițiile de temperatură și presiune normale dacă nu s-a specificat altfel. | |
Chimie
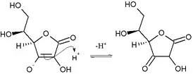
Aciditate
Cei doi hidroxili (-OH) din partea de jos, de la legătura dublă sunt enoli. Un enol pierde o pereche de electroni, devenind o grupare oxoniu (=OH+), prin crearea unei legături duble cu atomul de carbon. Simultan, legătura dublă carbon-carbon (dintre enoli) își transferă electronii pentru a forma o legătură dublă cu următorul carbon. Pentru a face loc, electronii legăturii duble a grupei carbonil sunt primiți de oxigenul carbonilului, pentru a forma un enolat. Oxoniul se deprotonează prompt pentru a produce un carbonil, iar această pierdere de protoni dă acidului ascorbic caracterul său acid. Întreaga reacție este deprotonarea enolului pentru a forma un enolat, unde sarcina negativă a enolatului rezultat este delocalizată de sistemul carbonil (C=O) și de dubla legătură (C=C). Această delocalizare face ionul mult mai stabil și mai puțin probabil să își reprimească protonul.

Tautomerie

Acidul ascorbic se convertește foarte repede în doi tautomeri instabili ai dicetonei prin transfer de protoni, deși este mai stabil sub formă de enol. Protonul enolului este pierdut și recâștigat de electronii dublei legături, producând o dicetonă. Aceasta este o recție de enol. Există două forme posibile: 1,2-dicetonă și 1,3-dicetonă.
Determinare
Concentrația unei soluții de acid ascorbic poate fi determinată prin mai multe metode, cele mai comune implicând titrarea cu un agent oxidant.
DCPIP
Un agent oxidant des folosit este colorantul 2,6-diclorofenol-indofenol, sau, pe scurt, DCPIP. Colorantul albastru este introdus în soluția de acid ascorbic până când o culoare roz pal apare timp de 15 secunde.
Iod
O altă metodă implică folosirea iodului și un indicator de amidon. Iodul reacționează cu acidul ascorbic, iar când tot acidul ascorbic este consumat, iodul, aflat în exces, reacționează cu amidonul, formând un complex de culoare albastră. Aceasta indică sfârșitul reacției de titrare.
Iodat și ioni ai iodului
Metoda de mai sus care implică iodul necesită crearea și standardizarea soluției de iod. O altă cale o reprezintă generarea iodului în prezența acidului ascorbic prin reacția ionilor iodat și iodin în soluție acidă.
N-Bromosuccinimidă
Un agent de oxidare mai puțin întâlnit este N-bromosuccinimida, (NBS). În această titrare, NBS oxidează acidul ascorbic (în prezență de iodură de potasiu și amidon). Când NBS este în exces (de exemplu, reacția este completă), acesta eliberează iodul din iodura de potasiu, care formează cu amidonul un complex de culoare albastră, indicând sfărșitul titrării.
Utilizări
Acidul ascorbic este oxidat foarte ușor și de aceea este folosit ca reducător în soluțiile de developare fotografică (printre alți compuși) și drept conservant.
Expunerea la oxigen, metale, lumină și căldură distrug acidul ascorbic, deci trebuie păstrat la întuneric și răcoare, într-un recipient non-metalic.
Forma oxidată a acidului ascorbic se numește acid dehidroascorbic.
L-enantiomerul acidului ascorbic se mai numește și vitamina C (numele de „ascorbic" vine de la proprietatea sa de a preveni și vindeca scorbutul). Primatele (incluzând oamenii) și câteva alte specii din regnul animal, notabil fiind cobaiul, și-au pierdut proprietatea de a sintetiza vitamina C și trebuie să o obțină din alimentație.
Acidul ascorbic și sărurile sale de sodiu, potasiu și calciu se folosesc des ca aditivi alimentari antioxidanți. Acești compuși sunt solubili în apă și, deci, nu pot proteja grăsimile de oxidare: pentru acestea, esterii liposolubili ai acidului ascobic cu catenă lungă de acizi grași (ascorbil palmitat sau ascorbil stearate) pot fi folosiți drepti antioxidanți.
Numele aditivilor alimentari europeni relevanți sunt: E300 acid ascorbic, E301 ascorbat de sodiu, E302 ascorbat de calciu, E303 ascorbat de potasiu, E304 esteri ai acidului ascorbic cu acizi grași (i) ascorbil palmitat (ii) ascorbil stearat.
Mecanismul antioxidant
Ascorbatul se comporă ca un antioxidant prin disponibilitatea sa de a se oxida în condiții energetice favorabile. Oxidanții (numiți științific specii de oxigen reactiv) precum redicalul hidroxil (format din peroxid de hidrogen), conțin un orbital monoelectronic și de aceea sunt foarte reactivi și dăunători oamenilor și plantelor la nivel molecular. Acest lucru are loc datorită interacției lor cu acizii nucleici, proteinele și lipidele. Speciile de oxigen reactiv pot 'extrage' un atom hidrogen din ascorbat, care devine astfel monodehidroascorbat, dar imediat câștigă un alt electron pentru a redeveni dehidroascorbat. Speciile de oxigen reactiv sunt reduse la apă, în timp ce formele de ascorbat oxidat sunt relativ stabile și nereactive, necauzând nici un rău celulei.
Bibliografie
- Clayden, Greeves, Warren, Wothers. Organic Chemistry. Oxford University Press (2001), ISBN 0-19-850346-6.
- Derek Denby Chemistry Review, Mai 1996
Vezi și
- Vitamina C pentru informații despre proprietățile medicale ale acidului ascorbic, ca și istoria și rolul său social.
- Ascorbați minerali
Legături externe
- Safety data Arhivat în , la Wayback Machine. University of Oxford
- Investigations of the oxidation and reduction of the ascorbic acid / dehydroascorbic acid redox system as well as of the hydrolytic saponification from dehydroascorbic acid to diketogulonic acid Dissertation Giessen 1992
- Vitamin C: Its Chemistry and Biochemistry Michael B. Davies, John Austin, David A. Partridge. Royal Society of Chemistry. ISBN 0-85186-333-7
- Food: The Chemistry of Its Components; Third Edition T.P. Coultate. Royal Society of Chemistry. ISBN 0-85404-513-9

