Phosphatidylglycerol

Phosphatidylglycerol is a glycerophospholipid found in pulmonary surfactant[1] and in the plasma membrane where it directly activates lipid-gated ion channels.
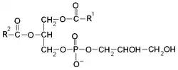
The general structure of phosphatidylglycerol consists of a L-glycerol 3-phosphate backbone ester-bonded to either saturated or unsaturated fatty acids on carbons 1 and 2. The head group substituent glycerol is bonded through a phosphomonoester. It is the precursor of surfactant and its presence (>0.3) in the amniotic fluid of the newborn indicates fetal lung maturity.
Approximately 98% of alveolar wall surface area is due to the presence of type I cells, with type II cells producing pulmonary surfactant covering around 2% of the alveolar walls. Once surfactant is secreted by the type II cells, it must be spread over the remaining type I cellular surface area. Phosphatidylglycerol is thought to be important in spreading of surfactant over the Type I cellular surface area. The major surfactant deficiency in premature infants relates to the lack of phosphatidylglycerol, even though it comprises less than 5% of pulmonary surfactant phospholipids. It is synthesized by head group exchange of a phosphatidylcholine enriched phospholipid using the enzyme phospholipase D.
Biosynthesis

Phosphatidylglycerol (PG) is formed via a complex sequential pathway whereby phosphatidic acid (PA) is first converted to CDP-diacylglyceride by the enzyme CDP-diacylglyceride synthase.[2] Then a PGP synthase enzyme exchanges glycerol-3-phosphate (G3P) for cytidine monophosphase (CMP), forming the temporary intermediate phosphatidylglycerolphosphate (PGP).[3] PG is finally synthesized when a PGP phosphatase enzyme catalyzes the immediate dephosphorylation of the PGP intermediate to form PG.[4] In bacteria, another membrane phospholipid known as cardiolipin can be synthesized by condensing two molecules of phosphatidylglycerol; a reaction catalyzed by the enzyme cardiolipin-synthase.[5] In eukaryotic mitochondria phosphatidylglycerol is converted to cardiolipin by reacting with a molecule of cytidine diphosphate diglyceride in a reaction catalyzed by cardiolipin synthase.[6]
See also
References
- ↑ Richard J. King; Mary Catherine MacBeth (6 October 1981). "Interaction of the lipid and protein components of pulmonarysurfactant Role of phosphatidylglycerol and calcium". Biochimica et Biophysica Acta (BBA) - Biomembranes. 647 (2): 159–168. doi:10.1016/0005-2736(81)90242-X. PMID 6895322.
- ↑ Dowhan, W. (1997-09-04). "CDP-diacylglycerol synthase of microorganisms". Biochimica et Biophysica Acta (BBA) - Lipids and Lipid Metabolism. 1348 (1–2): 157–165. doi:10.1016/s0005-2760(97)00111-2. ISSN 0006-3002. PMID 9370328.
- ↑ Pluschke, G.; Hirota, Y.; Overath, P. (1978-07-25). "Function of phospholipids in Escherichia coli. Characterization of a mutant deficient in cardiolipin synthesis". Journal of Biological Chemistry. 253 (14): 5048–5055. doi:10.1016/S0021-9258(17)34655-0. ISSN 0021-9258.
- ↑ Dillon, Deirdre A.; Wu, Wen-I; Riedel, Bettina; Wissing, Josef B.; Dowhan, William; Carman, George M. (November 1996). "The Escherichia coli pgpB Gene Encodes for a Diacylglycerol Pyrophosphate Phosphatase Activity". Journal of Biological Chemistry. 271 (48): 30548–30553. doi:10.1074/jbc.271.48.30548. PMID 8940025.
- ↑ Nishijima, S; Asami, Y; Uetake, N; Yamagoe, S; Ohta, A; Shibuya, I (February 1988). "Disruption of the Escherichia coli cls gene responsible for cardiolipin synthesis". Journal of Bacteriology. 170 (2): 775–780. doi:10.1128/jb.170.2.775-780.1988. ISSN 0021-9193. PMC 210721. PMID 2828323.
- ↑ Hostetler KY, van den Bosch H, van Deenen LL (March 1972). "The mechanism of cardiolipin biosynthesis in liver mitochondria". Biochimica et Biophysica Acta (BBA) - Lipids and Lipid Metabolism. 260 (3): 507–13. doi:10.1016/0005-2760(72)90065-3. hdl:1874/17621. PMID 4556770. S2CID 46101728.
- Hostetler KY, van den Bosch H, van Deenen LL. The mechanism of cardiolipin biosynthesis in liver mitochondria. Biochim Biophys Acta. 1972 Mar 23;260(3):507-13. doi:10.1016/0005-2760(72)90065-3. PMID 4556770.
External links
- Phosphatidylglycerols at the U.S. National Library of Medicine Medical Subject Headings (MeSH)