Acetylation

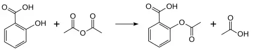
Salicylic acid is acetylated to form aspirin

In chemistry, acetylation is an organic esterification reaction with acetic acid. It introduces an acetyl group into a chemical compound. Such compounds are termed acetate esters or simply acetates. Deacetylation is the opposite reaction, the removal of an acetyl group from a chemical compound.

Acetylation/deacetylation in biology

Histone deacetylases "play crucial roles in gene transcription and most likely in all eukaryotic biological processes that involve chromatin".[1]

Acetylation is one type of post-translational modification of proteins. The acetylation of the ε-amino group of lysine, which is common, converts a charged side chain to a neutral one.[2] Acetylation/deacetylation of histones also plays a role in gene expression and cancer.[3] These modifications are effected by enzymes called histone acetyltransferases (HATs) and histone deacetylases (HDACs).[4]

Two general mechanisms are known for deacetylation. One mechanism involves zinc binding to the acetyl oxygen. Another family of deacetylases require NAD+, which transfers an ribosyl group to the acetyl oxygen.[1]

Organic synthesis

Acetate esters[5] and acetamides[6] are generally prepared by acetylations. Acetylations are often used in making C-acetyl bonds in Friedel-Crafts reactions.[7][8] Carbanions and their equivalents are susceptible to acetylations.[9]

Acetylation reagents

Many acetylations are achieved using these three reagents:

  • Acetic anhydride. This reagent is common in the laboratory; its use cogenerates acetic acid.[7][10]
  • Acetyl chloride. This reagent is also common in the laboratory, but its use cogenerates hydrogen chloride, which can be undesirable.[8]
  • Ketene. At one time acetic anhydride was prepared by the reaction of ketene with acetic acid:[11]
H2C=C=O + CH3CO2H → (CH3CO)2O

Acetylation of cellulose

Cellulose is a polyol and thus susceptible to acetylation, which is achieved using acetic anhydride. Acetylation disrupts hydrogen bonding, which otherwise dominates the properties of cellulose. Consequently, the cellulose esters are soluble in organic solvents and can be cast into fibers and films.[12]

Acetylation of wood

Acetylation of wood is a chemical modification process that enhances the properties of wood by making it highly resistant to fungi and insects, as well as very durable against moisture and environmental parameters.[13][14]

The process involves the chemical reaction of acetic anhydride with the free hydroxyl groups in wood polymers, mostly of lignin and hemicelluloses, without requiring a catalyst. The modification results in bonds between the structural polymeric components, significantly reducing the ability of the -OH groups to form hydrogen bonds with water molecules. This effectively "locks" the cellular walls, minimizing the capacity of wood to absorb water and enhancing its dimensional stability. Approximately 80-90% of the hydroxyl groups of wood are modified during the process. The whole process is an environmentally friendly treatment, and has emerged, in the 21st century, as a significant innovation in the scientific area of wood science.[15][16]

Transacetylation

Transacetylation uses vinyl acetate as an acetyl donor and lipase as a catalyst. This methodology allows the preparation of enantio-enriched alcohols and acetates.[17]

See also

References

  1. 1 2 Seto, E.; Yoshida, M. (2014). "Erasers of Histone Acetylation: The Histone Deacetylase Enzymes". Cold Spring Harbor Perspectives in Biology. 6 (4): a018713. doi:10.1101/cshperspect.a018713. PMC 3970420. PMID 24691964.
  2. Ali, Ibraheem; Conrad, Ryan J.; Verdin, Eric; Ott, Melanie (2018). "Lysine Acetylation Goes Global: From Epigenetics to Metabolism and Therapeutics". Chemical Reviews. 118 (3): 1216–1252. doi:10.1021/acs.chemrev.7b00181. PMC 6609103. PMID 29405707.
  3. Bolden, Jessica E.; Peart, Melissa J.; Johnstone, Ricky W. (2006). "Anticancer activities of histone deacetylase inhibitors". Nature Reviews Drug Discovery. 5 (9): 769–784. doi:10.1038/nrd2133. PMID 16955068. S2CID 2857250.
  4. Shahbazian, Mona D.; Grunstein, Michael (2007). "Functions of Site-Specific Histone Acetylation and Deacetylation". Annual Review of Biochemistry. 76: 75–100. doi:10.1146/annurev.biochem.76.052705.162114. PMID 17362198.
  5. F. K. Thayer (1925). "Acetylmandelic Acid and Acetylmandelyl Chloride". Organic Syntheses. 4: 1. doi:10.15227/orgsyn.004.0001.
  6. Herbst, R. M.; Shemin, D. (1939). "Acetylglycine". Organic Syntheses. 19: 4. doi:10.15227/orgsyn.019.0004.
  7. 1 2 F. E. Ray and George Rieveschl, Jr (1948). "2-Acetylfluorene". Organic Syntheses. 28: 3. doi:10.15227/orgsyn.028.0003.
  8. 1 2 Merritt, Jr., Charles; Braun, Charles E. (1950). "9-Acetylanthracene". Organic Syntheses. 30: 1. doi:10.15227/orgsyn.030.0001.
  9. Denoon, C. E. Jr.; Adkins, Homer; Rainey, James L. (1940). "Acetylacetone". Organic Syntheses. 20: 6. doi:10.15227/orgsyn.020.0006.
  10. Mantanis, George I. (2017). "Chemical modification of wood by acetylation or furfurylation: A review of the present scaled-up technologies". BioResources. 12 (2): 4478–4489. doi:10.15376/biores.12.2.Mantanis.
  11. Arpe, Hans-Jürgen (2007), Industrielle organische Chemie: Bedeutende vor- und Zwischenprodukte (in German) (6th ed.), Weinheim: Wiley-VCH, pp. 200–1, ISBN 978-3-527-31540-6
  12. Balser, Klaus; Hoppe, Lutz; Eicher, Theo; Wandel, Martin; Astheimer, Hans‐Joachim; Steinmeier, Hans; Allen, John M. (2004). "Cellulose Esters". Ullmann's Encyclopedia of Industrial Chemistry. Weinheim: Wiley-VCH. doi:10.1002/14356007.a05_419.pub2. ISBN 978-3-527-30385-4.
  13. "Springer Handbook of Wood Science and Technology". Springer Handbooks. Cham: Springer International Publishing. 2023. p. 897. doi:10.1007/978-3-030-81315-4. ISBN 978-3-030-81314-7. ISSN 2522-8692.
  14. Holger Militz: Übersichtsbericht - Acetyliertes Holz - (Naturwissenschaftliche und technologische Grundlagen, materialtechnische und ökonomische Möglichkeiten und Grenzen, aktueller Stand der Umsetzung). SGD Süd-Forstliche Versuchsanstalt Rheinland-Pfalz, 2011, accessed in December 2024.
  15. Sandberg, Dick; Kutnar, Andreja; Mantanis, George (2017-12-01). "Wood modification technologies - a review". IForest. 10 (6): 895–908. doi:10.3832/ifor2380-010. Retrieved 2024-12-20.
  16. Mantanis, George I. (2017). "Chemical modification of wood by acetylation or furfurylation: A review of the present scaled-up technologies". BioResources. 12 (2): 4478–4489. doi:10.15376/biores.12.2.Mantanis.
  17. Manchand, Percy S. (2001). "Vinyl Acetate". Encyclopedia of Reagents for Organic Synthesis. doi:10.1002/047084289X.rv008. ISBN 0471936235.
This article is issued from Wikipedia. The text is licensed under Creative Commons - Attribution - Sharealike. Additional terms may apply for the media files.