Suritozole
![]() | |
| Clinical data | |
|---|---|
| ATC code |
|
| Identifiers | |
IUPAC name
| |
| CAS Number | |
| PubChem CID | |
| ChemSpider | |
| UNII | |
| KEGG | |
| CompTox Dashboard (EPA) | |
| Chemical and physical data | |
| Formula | C10H10FN3S |
| Molar mass | 223.27 g·mol−1 |
| 3D model (JSmol) | |
SMILES
| |
InChI
| |
| | |
Suritozole (MDL 26,479) is an investigational cognition enhancer. It acts as a partial inverse agonist at the benzodiazepine receptor site on the GABAA ion channel complex, but does not have either anxiogenic or convulsant effects, unlike other BZD inverse agonists such as DMCM.[1] It was investigated for the treatment of depression and Alzheimer's disease in the 90s,[2] but clinical development seems to have been discontinued.
Synthesis
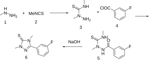
The reaction between monomethylhydrazine [60-34-4] (1) and methyl isothiocyanate (Trapex) [556-61-6] (2) gave 2,4-dimethylthiosemicarbazide [6621-75-6] (3). Amide formation with 3-fluorobenzoyl chloride [1711-07-5] (4) yielded 1-(3-fluorobenzoyl)-2,4-dimethylthiosemicarbazide [110623-52-4] (5). Cyclization to Suritozole (6).
See also
References
- ↑ Miller JA, Dudley MW, Kehne JH, Sorensen SM, Kane JM (September 1992). "MDL 26,479: a potential cognition enhancer with benzodiazepine inverse agonist-like properties". British Journal of Pharmacology. 107 (1): 78–86. doi:10.1111/j.1476-5381.1992.tb14466.x. PMC 1907590. PMID 1330168.
- ↑ Robbins DK, Hutcheson SJ, Miller TD, Green VI, Bhargava VO, Weir SJ (May 1997). "Pharmacokinetics of MDL 26479, a novel benzodiazepine inverse agonist, in normal volunteers". Biopharmaceutics & Drug Disposition. 18 (4): 325–334. doi:10.1002/(SICI)1099-081X(199705)18:4<325::AID-BDD21>3.0.CO;2-1. PMID 9158880.
- ↑ Miller JA, Dudley MW, Kehne JH, Sorensen SM, Wenstrup DL, Kane JM (1992). "MDL 26,479". Drugs of the Future. 17 (1): 21–23. doi:10.1358/dof.1992.017.01.161263.
- ↑ Kane JM, Dudley MW, Sorensen SM, Miller FP (June 1988). "2,4-Dihydro-3H-1,2,4-triazole-3-thiones as potential antidepressant agents". Journal of Medicinal Chemistry. 31 (6): 1253–1258. doi:10.1021/jm00401a031. PMID 3373495.
- ↑ Louks DH, Stolz-Dunn SK (2007). "Kinetics for Scale-Up of a One-Pot Pathway to 5-(3-Fluorophenyl)-2,4-dihydro-2,4-dimethyl-3 H -1,2,4-triazole-3-thione Using a Hybrid Model of Parallel and Consecutive Reactions". Organic Process Research & Development. 11 (5): 877–884. doi:10.1021/op700101g.
- ↑ US5856350 idem Christopher Robin Dalton, John Michael Kane, John Herr Kehne, WO 1996033177 (1999 to Hoechst Marion Roussel, Inc.).
- ↑ US5723624 idem Sandra K. Stolz-Dunn, David H. Louks, Yolanda M. Puga, Christian T. Goralski, WO 1996001812 (1998 to Merrell Pharmaceuticals Inc).

