Amezinium metilsulfate
![]() | |
| Clinical data | |
|---|---|
| AHFS/Drugs.com | International Drug Names |
| Routes of administration | Oral |
| ATC code | |
| Legal status | |
| Legal status |
|
| Identifiers | |
IUPAC name
| |
| CAS Number | |
| PubChem CID | |
| ChemSpider | |
| UNII | |
| KEGG | |
| ChEBI | |
| ChEMBL | |
| CompTox Dashboard (EPA) | |
| ECHA InfoCard | 100.045.665 |
| Chemical and physical data | |
| Formula | C12H15N3O5S |
| Molar mass | 313.33 g·mol−1 |
| 3D model (JSmol) | |
SMILES
| |
InChI
| |
| | |
Amezinium metilsulfate (INN, trade name Regulton) is a sympathomimetic drug used for the treatment of low blood pressure. It has multiple mechanisms, including stimulation of alpha and beta-1 receptors and inhibition of noradrenaline and tyramine uptake.[1][2]
Synthesis
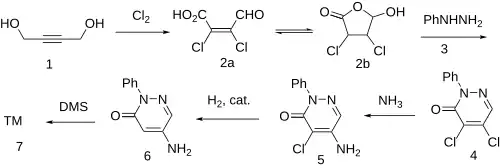
This antidepressant is made from Chloridazon starting material.
The halogenation of 2-Butyne-1,4-diol [110-65-6] (1) with chlorine gives Mucochloric acid [87-56-9] (2). Treatment with Phenylhydrazine [100-63-0] (3) gives 1-Phenyl-4,5-dichloro-6-pyridazone [1698-53-9] (4). Addition of ammonia leads to Chloridazon [1698-60-8] (5). Catalytic hydrogenation yields 5-amino-2-phenylpyridazin-3-one [13589-77-0] (6). Alkylation with dimethyl sulfate completed the synthesis of Amezinium metisulfate (7).
References
- ↑ Araújo D, Caramona MM, Osswald W (June 1983). "On the mechanism of action of amezinium methylsulphate on the dog saphenous vein". European Journal of Pharmacology. 90 (2–3): 203–14. doi:10.1016/0014-2999(83)90238-8. PMID 6873182.
- ↑ Lenke D, Gries J, Kretzschmar R (1981). "Pharmacology of amezinium, a novel antihypotensive drug. III. Studies on the mechanism of action". Arzneimittel-Forschung. 31 (9a): 1558–65. PMID 7197970.
- ↑ Unterhalt B (1981). "Amezinium metilsulfate". Drugs of the Future. 6 (4): 207. doi:10.1358/dof.1981.006.04.199346.
- ↑ Reicheneder F, Burger TF, König H, Kropp R, Lietz H, Thyes M, Wiersdorff WW (1981). "Amezinium. Synthesis and radioactive labelling". Arzneimittel-Forschung. 31 (9a): 1529–1533. PMID 7197967.
- ↑ Beljean M, Pays M. "Heterocyclic hydrazines and hydrazones. II. Synthesis of hydrazino derivatives and of hydrazones in the thiazolo[4,5-d]pyridazin-7-ones". Bulletin de la Société Chimique de France. 12 (2): 3324–3330.

