Duffing equation


The Duffing equation (or Duffing oscillator), named after Georg Duffing (1861–1944), is a non-linear second-order differential equation used to model certain damped and driven oscillators. The equation is given by where the (unknown) function is the displacement at time t, is the first derivative of with respect to time, i.e. velocity, and is the second time-derivative of i.e. acceleration. The numbers and are given constants.
The equation describes the motion of a damped oscillator with a more complex potential than in simple harmonic motion (which corresponds to the case ); in physical terms, it models, for example, an elastic pendulum whose spring's stiffness does not exactly obey Hooke's law.
The Duffing equation is an example of a dynamical system that exhibits chaotic behavior. Moreover, the Duffing system presents in the frequency response the jump resonance phenomenon that is a sort of frequency hysteresis behaviour.
Parameters
The parameters in the above equation are:
- controls the amount of damping,
- controls the linear stiffness,
- controls the amount of non-linearity in the restoring force; if the Duffing equation describes a damped and driven simple harmonic oscillator,
- is the amplitude of the periodic driving force; if the system is without a driving force, and
- is the angular frequency of the periodic driving force.
The Duffing equation can be seen as describing the oscillations of a mass attached to a nonlinear spring and a linear damper. The restoring force provided by the nonlinear spring is then
When and the spring is called a hardening spring. Conversely, for it is a softening spring (still with ). Consequently, the adjectives hardening and softening are used with respect to the Duffing equation in general, dependent on the values of (and ).[1]
The number of parameters in the Duffing equation can be reduced by two through scaling (in accord with the Buckingham π theorem), e.g. the excursion and time can be scaled as:[2] and assuming is positive (other scalings are possible for different ranges of the parameters, or for different emphasis in the problem studied). Then:[3] where
- and
The dots denote differentiation of with respect to This shows that the solutions to the forced and damped Duffing equation can be described in terms of the three parameters (, , and ) and two initial conditions (i.e. for and ).
Methods of solution
In general, the Duffing equation does not admit an exact symbolic solution. However, many approximate methods work well:
- Expansion in a Fourier series may provide an equation of motion to arbitrary precision.
- The term, also called the Duffing term, can be approximated as small and the system treated as a perturbed simple harmonic oscillator.
- The Frobenius method yields a complex but workable solution.
- Any of the various numeric methods such as Euler's method and Runge–Kutta methods can be used.
- The homotopy analysis method (HAM) has also been reported for obtaining approximate solutions of the Duffing equation, also for strong nonlinearity.[4][5]
In the special case of the undamped () and undriven () Duffing equation, an exact solution can be obtained using Jacobi's elliptic functions.[6]
Boundedness of the solution for the unforced oscillator
Undamped oscillator
Multiplication of the undamped and unforced Duffing equation, with gives:[7] with H a constant. The value of H is determined by the initial conditions and
The substitution in H shows that the system is Hamiltonian:
When both and are positive, the solution is bounded:[7] with the Hamiltonian H being positive. This bound on comes from dropping the term with . Including it gives a smaller but more complicated bound, by solving , a quadratic equation for .
Damped oscillator
Similarly, the damped oscillator converges globally, by Lyapunov function method[8] since for damping. Without forcing the damped Duffing oscillator will end up at (one of) its stable equilibrium point(s). The equilibrium points, stable and unstable, are at If the stable equilibrium is at If and the stable equilibria are at and
Frequency response
The forced Duffing oscillator with cubic nonlinearity is described by the following ordinary differential equation:
The frequency response of this oscillator describes the amplitude of steady state response of the equation (i.e. ) at a given frequency of excitation For a linear oscillator with the frequency response is also linear. However, for a nonzero cubic coefficient , the frequency response becomes nonlinear. Depending on the type of nonlinearity, the Duffing oscillator can show hardening, softening or mixed hardening–softening frequency response. Anyway, using the homotopy analysis method or harmonic balance, one can derive a frequency response equation in the following form:[9][5]
For the parameters of the Duffing equation, the above algebraic equation gives the steady state oscillation amplitude at a given excitation frequency.
Using the method of harmonic balance, an approximate solution to the Duffing equation is sought of the form:[9] with and
Application in the Duffing equation leads to:
Neglecting the superharmonics at the two terms preceding and have to be zero. As a result,
Squaring both equations and adding leads to the amplitude frequency response: as stated above.
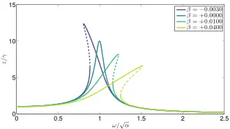
Frequency response as a function of for the Duffing equation, with and damping . The dashed parts of the frequency response are unstable.[3]
The same plot as a 3D diagram. Varying is shown along a separate axis.
Graphically solving for frequency response
We may graphically solve for as the intersection of two curves in the plane:For fixed , the second curve is a fixed hyperbola in the first quadrant. The first curve is a parabola with shape , and apex at location . If we fix and vary , then the apex of the parabola moves along the line .
Graphically, then, we see that if is a large positive number, then as varies, the parabola intersects the hyperbola at one point, then three points, then one point again. Similarly we can analyze the case when is a large negative number.
Jumps

For certain ranges of the parameters in the Duffing equation, the frequency response may no longer be a single-valued function of forcing frequency For a hardening spring oscillator ( and large enough positive ) the frequency response overhangs to the high-frequency side, and to the low-frequency side for the softening spring oscillator ( and ). The lower overhanging side is unstable – i.e. the dashed-line parts in the figures of the frequency response – and cannot be realized for a sustained time. Consequently, the jump phenomenon shows up:
- when the angular frequency is slowly increased (with other parameters fixed), the response amplitude drops at A suddenly to B,
- if the frequency is slowly decreased, then at C the amplitude jumps up to D, thereafter following the upper branch of the frequency response.
The jumps A–B and C–D do not coincide, so the system shows hysteresis depending on the frequency sweep direction.[9]
Transition to chaos
The above analysis assumed that the base frequency response dominates (necessary for performing harmonic balance), and higher frequency responses are negligible. This assumption fails to hold when the forcing is sufficiently strong. Higher order harmonics cannot be neglected, and the dynamics become chaotic. There are different possible transitions to chaos, most commonly by successive period doubling.[10]
Examples






Some typical examples of the time series and phase portraits of the Duffing equation, showing the appearance of subharmonics through period-doubling bifurcation – as well chaotic behavior – are shown in the figures below. The forcing amplitude increases from to . The other parameters have the values: , , and . The initial conditions are and The red dots in the phase portraits are at times which are an integer multiple of the period .[11]
References
Citations
- ↑ Thompson, J. M. T.; Stewart, H. B. (2002). Nonlinear Dynamics and Chaos. John Wiley & Sons. p. 66. ISBN 9780471876847.
- ↑ Lifshitz, R.; Cross, M. C. (2008). "Nonlinear mechanics of nanomechanical and micromechanical resonators". In Schuster, H. G. (ed.). Reviews of Nonlinear Dynamics and Complexity. Wiley. pp. 8–9. ISBN 9783527407293. LCCN 2008459659.
- 1 2 Brennan, M. J.; Kovacic, I.; Carrella, A.; Waters, T. P. (2008). "On the jump-up and jump-down frequencies of the Duffing oscillator". Journal of Sound and Vibration. 318 (4–5): 1250–1261. Bibcode:2008JSV...318.1250B. doi:10.1016/j.jsv.2008.04.032.
- ↑ Kovacic, I.; Brennan, M. J., eds. (2011), The Duffing Equation: Nonlinear Oscillators and their Behaviour, Wiley, pp. 123–127, ISBN 978-0-470-71549-9
- 1 2 Tajaddodianfar, F.; Yazdi, M. R. H.; Pishkenari, H. N. (2016). "Nonlinear dynamics of MEMS/NEMS resonators: analytical solution by the homotopy analysis method". Microsystem Technologies. 23 (6): 1913–1926. doi:10.1007/s00542-016-2947-7. S2CID 113216381.
- ↑ Rand, R. H. (2012), Lecture notes on nonlinear vibrations (PDF), 53, Cornell University, pp. 13–17
- 1 2 Bender, C. M.; Orszag, S. A. (1999), Advanced Mathematical Methods for Scientists and Engineers I: Asymptotic Methods and Perturbation Theory, Springer, p. 546, Bibcode:1999amms.book.....B, ISBN 9780387989310
- ↑ Takashi Kanamaru (ed.). "Duffing oscillator". Scholarpedia.
- 1 2 3 4 Jordan & Smith 2007, pp. 223–233
- ↑ Ueda, Yoshisuke (January 1, 1991). "Survey of regular and chaotic phenomena in the forced Duffing oscillator". Chaos, Solitons & Fractals. 1 (3): 199–231. Bibcode:1991CSF.....1..199U. doi:10.1016/0960-0779(91)90032-5. ISSN 0960-0779.
- ↑ Based on the examples shown in Jordan & Smith 2007, pp. 453–462.
Bibliography
- Duffing, G. (1918), Erzwungene Schwingungen bei veränderlicher Eigenfrequenz und ihre technische Bedeutung [Forced oscillations with variable natural frequency and their technical relevance] (in German), vol. Heft 41/42, Braunschweig: Vieweg, vi+134 pp, OCLC 12003652
- Addison, P. S. (1997), Fractals and Chaos: An illustrated course, CRC Press, pp. 147–148, ISBN 9780849384431
- Jordan, D. W.; Smith, P. (2007), Nonlinear ordinary differential equations – An introduction for scientists and engineers (4th ed.), Oxford University Press, ISBN 978-0-19-920824-1
External links
- Duffing oscillator on Scholarpedia
- MathWorld page
- Pchelintsev, A. N.; Ahmad, S. (2020). "Solution of the Duffing equation by the power series method" (PDF). Transactions of TSTU. 26 (1): 118–123.

