Pinner triazine synthesis
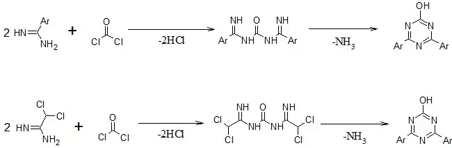
The Pinner triazine synthesis describes the preparation of 2-hydroxyl-4,6-diaryl-s-triazines by reaction of aryl amidines and phosgene. This reaction may be extended to halogenated aliphatic amidines.[1][2][3]

This reaction was first reported by Adolf Pinner in 1890[4]
References
This article is issued from Wikipedia. The text is licensed under Creative Commons - Attribution - Sharealike. Additional terms may apply for the media files.