Gabriel synthesis

Gabriel synthesis
Named after Siegmund Gabriel
Reaction type Substitution reaction
Identifiers
Organic Chemistry Portal gabriel-synthesis
RSC ontology ID RXNO:0000103

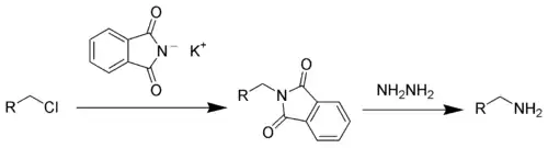
The Gabriel synthesis is a chemical reaction that transforms primary alkyl halides into primary amines. Traditionally, the reaction uses potassium phthalimide.[1][2][3] The reaction is named after the German chemist Siegmund Gabriel.[4]

The Gabriel reaction has been generalized to include the alkylation of sulfonamides[5] and imides, followed by deprotection, to obtain amines (see Alternative Gabriel reagents).[6][7]

The alkylation of ammonia is often an unselective and inefficient route to amines. In the Gabriel method, phthalimide anion is employed as a surrogate of H2N.

Traditional Gabriel synthesis

In this method, the sodium or potassium salt of phthalimide is N-alkylated with a primary alkyl halide to give the corresponding N-alkylphthalimide.[8][9][10]

The Gabriel synthesis

Upon workup by acidic hydrolysis the primary amine is liberated as the amine salt.[11] Alternatively the workup may be via the Ing–Manske procedure, involving reaction with hydrazine. This method produces a precipitate of phthalhydrazide (C6H4(CO)2N2H2) along with the primary amine:

C6H4(CO)2NR + N2H4 → C6H4(CO)2N2H2 + RNH2

Gabriel synthesis generally fails with secondary alkyl halides.

The first technique often produces low yields or side products. Separation of phthalhydrazide can be challenging. For these reasons, other methods for liberating the amine from the phthalimide have been developed.[12] Even with the use of the hydrazinolysis method, the Gabriel method suffers from relatively harsh conditions.

Alternative Gabriel reagents

Many alternative reagents have been developed to complement the use of phthalimides. Most such reagents (e.g. the sodium salt of saccharin and di-tert-butyl-iminodicarboxylate) are electronically similar to the phthalimide salts, consisting of imido nucleophiles. In terms of their advantages, these reagents hydrolyze more readily, extend the reactivity to secondary alkyl halides, and allow the production of secondary amines.[7]

See also

References

  1. Sheehan, J. C.; Bolhofer, V. A. (1950). "An Improved Procedure for the Condensation of Potassium Phthalimide with Organic Halides". J. Am. Chem. Soc. 72 (6): 2786. doi:10.1021/ja01162a527.
  2. Gibson, M.S.; Bradshaw, R.W. (1968). "The Gabriel Synthesis of Primary Amines". Angew. Chem. Int. Ed. Engl. 7 (12): 919. doi:10.1002/anie.196809191. S2CID 95888531.
  3. Mitsunobu, O. Compr. Org. Synth. 1991, 6, 79–85. (Review)
  4. S. Gabriel (1887). "Ueber eine Darstellung primärer Amine aus den entsprechenden Halogenverbindungen". Chemische Berichte. 20: 2224. doi:10.1002/cber.18870200227.
  5. Carey, Francis A.; Sundberg, Richard J. (2007). Advanced Organic Chemistry: Part B: Reactions and Synthesis (5th ed.). New York: Springer. p. 230. ISBN 978-0387683546.
  6. Hendrickson, J (1975). "New "Gabriel" syntheses of amines". Tetrahedron. 31 (20): 2517–2521. doi:10.1016/0040-4020(75)80263-8.
  7. 1 2 Ulf Ragnarsson; Leif Grehn (1991). "Novel Gabriel Reagents". Acc. Chem. Res. 24 (10): 285–289. doi:10.1021/ar00010a001.
  8. T. O. Soine and M. R. Buchdahl "β-Bromoethylphthalimide" Org. Synth. 1952, volume 32, 18. doi:10.15227/orgsyn.032.0018
  9. C. C. DeWitt "γ-Aminobutyric Acid" Org. Synth. 1937, volume 17, 4. doi:10.15227/orgsyn.017.0004
  10. Richard H. F. Manske "Benzyl Phthalimide" Org. Synth. 1932, volume 12, 10. doi:10.15227/orgsyn.012.0010
  11. M. N. Khan (1995). "Kinetic Evidence for the Occurrence of a Stepwise Mechanism in the Hydrazinolysis of Phthalimide". J. Org. Chem. 60 (14): 4536–4541. doi:10.1021/jo00119a035.
  12. Osby, J. O.; Martin, M. G.; Ganem, B. (1984). "An Exceptionally Mild Deprotection of Phthalimides". Tetrahedron Letters. 25 (20): 2093. doi:10.1016/S0040-4039(01)81169-2.
This article is issued from Wikipedia. The text is licensed under Creative Commons - Attribution - Sharealike. Additional terms may apply for the media files.