Fast blue optical transient

In astronomy, a fast blue optical transient (FBOT), or more specifically, luminous fast blue optical transient (LFBOT), is an explosive transient event similar to supernovae and gamma-ray bursts with high optical luminosity, rapid evolution, and predominantly blue emission.[1] The origins of such explosions are currently unclear, with events occurring at not more than 0.1% of the typical core-collapse supernova rate.[2] This class of transients initially emerged from large sky surveys at cosmological distances,[3][4] yet in recent years a small number have been discovered in the local Universe, most notably AT 2018cow.
The precise definition of what constitutes a 'fast blue optical transient' is currently contentious in the literature, largely defined by the observational properties rather than the underlying mechanisms/objects. Even within the class, growing samples of candidates[5] are beginning to reveal significant variation in properties when the objects are studied in greater detail, potentially indicative of different progenitor channels or explosion mechanisms.
List
| Transient | Reported | Date | Observatory | Notes |
|---|---|---|---|---|
| AT 2018cow[6][7][8] | 2018 | 16 June 2018 | ATLAS-HKO | "The Cow", the most local FBOT known, and the event with the richest dataset, making It a prototype of the class.
Peak luminosity , exceeding that of superluminous supernovae |
| ZTF18abvkwla | 2020 | 12 September 2018 | Zwicky Transient Facility | "The Koala"
Blackbody temperature of over 40,000 Kelvin at peak |
| CSS161010[10][11] | 2020 | 10 October 2016 | CRTS | Shows mildly relativistic (55% the speed of light) mass outflows |
| AT 2020xnd (ZTF20acigmel)[12][13] | 2021 | 12 October 2020 | Zwicky Transient Facility | "The Camel" |
| AT 2020mrf[14][15] | 2022 | 12 June 2020 | Spektr-RG, Zwicky Transient Facility | 200 times more luminous on the X-ray spectrum at its peak than AT 2018cow and CSS161010 |
| AT 2022tsd[16][17] | 2023 | 7 September 2022 | Neil Gehrels Swift Observatory, Zwicky Transient Facility | "The Tasmanian Devil", minutes-duration optical flares suggestive of a NS/BH from a failed supernova event.[18][19] |
| AT 2023fhn[20][17][21][22] | 2023 | 10 April 2023 | Zwicky Transient Facility | "The Finch" or "The Fawn" |
| AT 2023vth (ZTF23ableqsp)[23] | 2023 | 18 October 2023 | Zwicky Transient Facility | First FBOT to be labelled as such on the Transient Name Server. |
Comparison of explosion scenarios of supernovae (SN), gamma-ray bursts (GRB) and fast blue optical transients (FBOT)
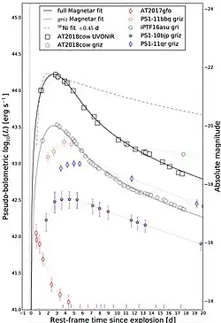
Bolometric luminosity of AT2018cow, compared against other fast transients, showing a very rapid evolution and high peak luminosity[7]
Optical spectra of AT2018cow, revealing a hot blackbody emission, with significant flux bluewards of (4000 Å)[7]
X-ray luminosity of FBOTs compared with other astronomical transients[10]
Star formation rate diagram for FBOTs.[14]
See also
References
- ↑ O"Callaghan, Jonathan (19 July 2023). "A Cow, a Camel and a Finch Exploded in Space. What Is Going On? - Astronomers have yet to determine the cause of luminous fast blue optical transients, and the latest they have detected is raising even more questions". The New York Times. Archived from the original on 20 July 2023. Retrieved 19 July 2023.
- 1 2 Ho, Anna Y. Q.; Perley, Daniel A.; Kulkarni, S. R.; Dong, Dillon Z. J.; De, Kishalay; Chandra, Poonam; Andreoni, Igor; Bellm, Eric C.; Burdge, Kevin B.; Coughlin, Michael; Dekany, Richard (26 May 2020). "The Koala: A Fast Blue Optical Transient with Luminous Radio Emission from a Starburst Dwarf Galaxy atz= 0.27". The Astrophysical Journal. 895 (1): 49. arXiv:2003.01222. Bibcode:2020ApJ...895...49H. doi:10.3847/1538-4357/ab8bcf. ISSN 1538-4357. S2CID 211817823.
- ↑ Drout, M. R.; Chornock, R.; Soderberg, A. M.; Sanders, N. E.; McKinnon, R.; Rest, A.; Foley, R. J.; Milisavljevic, D.; Margutti, R.; Berger, E.; Calkins, M.; Fong, W.; Gezari, S.; Huber, M. E.; Kankare, E. (19 September 2014). "Rapidly-Evolving and Luminous Transients from Pan-STARRS1". The Astrophysical Journal. 794 (1): 23. arXiv:1405.3668. Bibcode:2014ApJ...794...23D. doi:10.1088/0004-637X/794/1/23. ISSN 1538-4357.
- ↑ Pursiainen, M.; Childress, M.; Smith, M.; Prajs, S.; Sullivan, M.; Davis, T. M.; Foley, R. J.; Asorey, J.; Calcino, J.; Carollo, D.; Curtin, C.; D'Andrea, C. B.; Glazebrook, K.; Gutierrez, C.; Hinton, S. R. (21 November 2018). "Rapidly evolving transients in the Dark Energy Survey". Monthly Notices of the Royal Astronomical Society. 481 (1): 894–917. arXiv:1803.04869. doi:10.1093/mnras/sty2309. ISSN 0035-8711.
- ↑ Ho, Anna Y. Q.; Perley, Daniel A.; Gal-Yam, Avishay; Lunnan, Ragnhild; Sollerman, Jesper; Schulze, Steve; Das, Kaustav K.; Dobie, Dougal; Yao, Yuhan; Fremling, Christoffer; Adams, Scott; Anand, Shreya; Andreoni, Igor; Bellm, Eric C.; Bruch, Rachel J. (1 June 2023). "A Search for Extragalactic Fast Blue Optical Transients in ZTF and the Rate of AT2018cow-like Transients". The Astrophysical Journal. 949 (2): 120. arXiv:2105.08811. Bibcode:2023ApJ...949..120H. doi:10.3847/1538-4357/acc533. ISSN 0004-637X.
- ↑ Smartt, S. J.; et al. (17 June 2018). "ATLAS18qqn (AT2018cow) - a bright transient spatially coincident with CGCG 137-068 (60 Mpc)". The Astronomer's Telegram. 11727 (11727): 1. Bibcode:2018ATel11727....1S. Retrieved 22 June 2018.
- 1 2 3 Prentice, S. J.; Maguire, K.; Smartt, S. J.; Magee, M. R.; Schady, P.; Sim, S.; Chen, T.-W.; Clark, P.; Colin, C.; Fulton, M.; McBrien, O. (17 September 2018). "The Cow: Discovery of a Luminous, Hot, and Rapidly Evolving Transient". The Astrophysical Journal. 865 (1): L3. arXiv:1807.05965. Bibcode:2018ApJ...865L...3P. doi:10.3847/2041-8213/aadd90. ISSN 2041-8213. S2CID 54703801.
- ↑ Castelvecchi, Davide (2 November 2018). "Holy Cow! Astronomers agog at mysterious new supernova". Nature. 563 (7730): 168–169. Bibcode:2018Natur.563..168C. doi:10.1038/d41586-018-07260-w. PMID 30401847. S2CID 53233136.
- ↑ "A Fast, Blue "Koala" Shines Bright in a Distant Galaxy". 15 May 2020. Retrieved 16 January 2022.
- 1 2 Coppejans, D. L.; Margutti, R.; Terreran, G.; Nayana, A. J.; Coughlin, E. R.; Laskar, T.; Alexander, K. D.; Bietenholz, M.; Caprioli, D.; Chandra, P.; Drout, M. R. (26 May 2020). "A Mildly Relativistic Outflow from the Energetic, Fast-rising Blue Optical Transient CSS161010 in a Dwarf Galaxy". The Astrophysical Journal. 895 (1): L23. arXiv:2003.10503. Bibcode:2020ApJ...895L..23C. doi:10.3847/2041-8213/ab8cc7. ISSN 2041-8213. S2CID 214623364.
- ↑ "Astrophysicists capture new class of transient objects". news.northwestern.edu. Retrieved 15 January 2022.
- ↑ Perley, Daniel A; Ho, Anna Y Q; Yao, Yuhan; Fremling, Christoffer; Anderson, Joseph P; Schulze, Steve; Kumar, Harsh; Anupama, G C; Barway, Sudhanshu; Bellm, Eric C; Bhalerao, Varun (27 October 2021). "Real-time discovery of AT2020xnd: a fast, luminous ultraviolet transient with minimal radioactive ejecta". Monthly Notices of the Royal Astronomical Society. 508 (4): 5138–5147. arXiv:2103.01968. doi:10.1093/mnras/stab2785. ISSN 0035-8711.
- ↑ O'Callaghan, Jonathan (10 March 2021). "New Kind of Space Explosion Reveals the Birth of a Black Hole". Quanta Magazine. Retrieved 16 January 2022.
- 1 2 Yao, Yuhan; Ho, Anna Y. Q.; Medvedev, Pavel; A. J., Nayana; Perley, Daniel A.; Kulkarni, S. R.; Chandra, Poonam; Sazonov, Sergey; Gilfanov, Marat; Khorunzhev, Georgii; Khatami, David K.; Sunyaev, Rashid (1 August 2022). "The X-Ray and Radio Loud Fast Blue Optical Transient AT2020mrf: Implications for an Emerging Class of Engine-driven Massive Star Explosions". The Astrophysical Journal. 934 (2): 104. arXiv:2112.00751. Bibcode:2022ApJ...934..104Y. doi:10.3847/1538-4357/ac7a41. ISSN 0004-637X. S2CID 244798769.
- ↑ "Astronomers Find Most Luminous "Cow" to Shine in X-Rays". California Institute of Technology. 10 January 2022. Retrieved 15 January 2022.
- ↑ Matthews, D.; Margutti, R.; Metzger, B. D.; Milisavljevic, D.; Migliori, G.; Laskar, T.; Brethauer, D.; Berger, E.; Chornock, R.; Drout, M.; Ramirez-Ruiz, E. (19 June 2023). "Unprecedented X-Ray Emission from the Fast Blue Optical Transient AT2022tsd". Research Notes of the AAS. 7 (6): 126. arXiv:2306.01114. Bibcode:2023RNAAS...7..126M. doi:10.3847/2515-5172/acdde1. ISSN 2515-5172.
- 1 2 O’Callaghan, Jonathan (19 July 2023). "A Cow, a Camel and a Finch Exploded in Space. What Is Going On?". The New York Times. ISSN 0362-4331. Retrieved 30 August 2023.
- ↑ Ho, Anna Y. Q.; Perley, Daniel A.; Chen, Ping; Schulze, Steve; Dhillon, Vik; Kumar, Harsh; Suresh, Aswin; Swain, Vishwajeet; Bremer, Michael; Smartt, Stephen J.; Anderson, Joseph P.; Anupama, G. C.; Awiphan, Supachai; Barway, Sudhanshu; Bellm, Eric C. (15 November 2023). "Minutes-duration optical flares with supernova luminosities". Nature. 623 (7989): 927–931. arXiv:2311.10195. Bibcode:2023Natur.623..927H. doi:10.1038/s41586-023-06673-6. ISSN 0028-0836. PMID 37968403.
- ↑ O'Callaghan, Jonathan (15 November 2023). "Mysterious 'Tasmanian devil' space explosion baffles astronomers". Nature. 623 (7989): 900. Bibcode:2023Natur.623..900O. doi:10.1038/d41586-023-03569-3. ISSN 0028-0836. PMID 37968468.
- ↑ Chrimes, A. A.; Jonker, P. G.; Levan, A. J.; Coppejans, D. L.; Gaspari, N.; Gompertz, B. P.; Groot, P. J.; Malesani, D. B.; Mummery, A.; Stanway, E. R.; Wiersema, K. (2024). "AT 2023fhn (the Finch): a Luminous Fast Blue Optical Transient at a large offset from its host galaxy". Monthly Notices of the Royal Astronomical Society. 527 (1): L47 – L53. arXiv:2307.01771. Bibcode:2024MNRAS.527L..47C. doi:10.1093/mnrasl/slad145.
- ↑ Panjkov, Sonja (21 July 2023). "Luminous, Fast and Blue: Do the Finch and the Cow Share a Common Ancestor?". Astrobites.
- ↑ Cooper, Keith (6 October 2023). "Hubble Telescope just witnessed a massive intergalactic explosion and astronomers can't explain it - The leading theories involve stars being ripped apart by black holes or the merger of neutron stars". Space.com. Archived from the original on 6 October 2023. Retrieved 7 October 2023.
- ↑ Transient Name Server entry for AT 2023vth. Retrieved 22 November 2023.
External links
- Video (29:36) – Fast optical transients on YouTube (2016; Harvard University)
