< Advanced Inorganic Chemistry

Template:Dashboard.wikiedu.org sandboxIntroduction

Ziegler-Natta Polymerization originated in 1955 following Karl Ziegler's discovery of using a mixed metal catalyst to achieve polymerization of ethylene at low pressures using titanium tetrachloride and diethyl aluminum chloride. This was the first synthesis of high density polyethylene (HDPE), which to date is the most widely used polymer in the world[1]. Giulio Natta applied these findings to olefins, most notably propene. Using a mixture of triethylaluminum and titanium tetrachloride, Natta reported the first synthesis of linear, isotactic and syndiotactic polypropylene, which result in crystalline polymers opposed to the atactic form which is amorphous[2]. The two shared the 1963 Nobel Prize in Chemistry "for their discoveries in the field of the chemistry and technology of high polymers"[3]. These catalysts remain the most widely used by industry for the polymerization of polypropylene generating millions of tons per year[1].

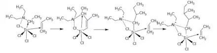
Schematic representation of the progression of events in Ziegler Natta polymerization

Mechanism of Polymerization

The following description is a summary of events for the polymerization of propene to isotactic polypropylene using triethylaluminum and titanium tetrachloride. Electron deficient titanium tetrachloride immediately coordinates a secondary carbon of triethylaluminum as well as the carbon carbon double bond of propylene. After coordination of one of the chlorine atoms with aluminum, the covalent bond between aluminum and the secondary carbon is weakened. From there, this secondary carbon becomes strongly coordinated to the titanium atom. Polymerization is initiated through destabilization of the carbon carbon double bond resulting in C1 of propylene being coordinated by the aluminum in place of the original ethyl group. From there, a new propylene molecule is coordinated by the Titanium, destabilizing the carbon carbon double bond until the C1 atom becomes coordinated with the aluminum, continuing the polymerization.

Classes of Catalysts

Catalysts for use in ziegler-natta polymerization have been widely researched, more information on the catalysts specifically is provided at this page. They are generally categorized into two groupings on the basis of solubility[1]

I: Heterogeneous catalysts. Titanium or vanadium based compounds used in conjunction with organoaluminum complexes.

II: Homogeneous catalysts: Complexes are based on Titanium, Zirconium, or Hafnium and include metallocenes and/or multidentate oxygen and nitrogen based ligands.

Advancements

In the 1970s, advancements in the process such as supporting the titanium based catalyst allowed for the commercialization of polymers made from this system. Magnesium containing compounds were introduced into the ziegler-natta polymerization system for this purpose. Most common was MgCl2 supported TiCl3 catalytic systems. Efficiencies rose to such a high catalytic rate that removal of the catalyst from the polymers was no longer industrially necessary. This reduced overall production costs of polyolefins and allowed for widespread commercialization of the product[4].

In the 1990s metallocene complexes were introduced as the 4th generation of Ziegler-Natta catalysts. It was found in 1977 that when metallocenes, notable zirconocenes, were combined with methylaluminoxane (MAO), catalytic rates of the polymerization of olefins rose between 1 and 2 orders of magnitude compared with the standard Ziegler-Natta systems of the time. The role of methylaluminoxane is to methylate the halogenated metallocene complex in order to form an active site which will allow for polymerization of olefins[5].

Figure 2

Methylaluminumoxane is used to methylate the metal center of a metallocene complex which activates the complex for catalysis of the polymerization of olefins

.Template:Student editor

  1. 1 2 3 Shamiri, Ahmad; Chakrabarti, Mohammed H.; Jahan, Shah; Hussain, Mohd Azlan; Kaminsky, Walter; Aravind, Purushothaman V.; Yehye, Wageeh A. (2014-07-09). "The Influence of Ziegler-Natta and Metallocene Catalysts on Polyolefin Structure, Properties, and Processing Ability" (in en). Materials 7 (7): 5069–5108. doi:10.3390/ma7075069. http://www.mdpi.com/1996-1944/7/7/5069.
  2. Natta, C. (1960-12-01). "Stereospecific polymerizations" (in en). Journal of Polymer Science 48 (150): 219–239. doi:10.1002/pol.1960.1204815023. ISSN 1542-6238. http://onlinelibrary.wiley.com/doi/10.1002/pol.1960.1204815023/abstract.
  3. "The Nobel Prize in Chemistry 1963". http://www.nobelprize.org/nobel_prizes/chemistry/laureates/1963.
  4. Chien, James C. W. (1992-06-22). Most Advanced Magnesium Chloride Supported Ziegler—Natta Catalyst. ACS Symposium Series. 496. American Chemical Society. pp. 27–55. doi:10.1021/bk-1992-0496.ch002. ISBN 0841224560. http://dx.doi.org/10.1021/bk-1992-0496.ch002.
  5. Yang, Xinmin; Stern, Charlotte L.; Marks, Tobin J.. "Cationic Zirconocene Olefin Polymerization Catalysts Based on the Organo-Lewis Acid Tris(pentafluorophenyl)borane. A Synthetic,Structural, Solution Dynamic, and Polymerization Catalytic Study". Journal of the American Chemical Society 116 (22): 10015–10031. doi:10.1021/ja00101a022. http://pubs.acs.org/doi/pdf/10.1021/ja00101a022.
This article is issued from Wikibooks. The text is licensed under Creative Commons - Attribution - Sharealike. Additional terms may apply for the media files.