If I type
\boldmath $\widetilde T$\unboldmath
I get
where unfortunately the tilde above the T is a little flimsy for my taste.
Is there a better way to do this?
I found a paper that has something, that appears a little bolder, in it.
If I type
\boldmath $\widetilde T$\unboldmath
I get
where unfortunately the tilde above the T is a little flimsy for my taste.
Is there a better way to do this?
I found a paper that has something, that appears a little bolder, in it.
There is a bold version of cmex nowadays:
\documentclass{article}
\DeclareFontShape{OMX}{cmex}{m}{b}{<-> cmexb10}{}
\SetSymbolFont{largesymbols}{bold}{OMX}{cmex}{m}{b}
\usepackage{amsmath,bm}
\begin{document}
$\widetilde{T}$ $\bm{\widetilde{T}}$
$\widetilde{TU}$ $\bm{\widetilde{TU}}$
\end{document}
In order to make it as a self-standing symbol, you can define a new symbol font:
\documentclass{article}
\DeclareFontShape{OMX}{cmex}{m}{b}{<-> cmexb10}{}
\usepackage{amsmath,bm}
\DeclareSymbolFont{boldlargesymbols}{OMX}{cmex}{m}{b}
\DeclareMathAccent{\bwidetilde}{\mathord}{boldlargesymbols}{"65}
\begin{document}
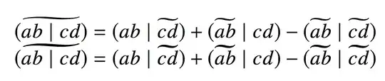
$\widetilde{(ab\mid cd)}=
(ab\mid\widetilde{\,cd\,})+(\widetilde{ab}\mid cd)-
(\widetilde{ab}\mid\widetilde{cd})$
$\bwidetilde{(ab\mid cd)}=
(ab\mid\bwidetilde{\,cd\,})+(\bwidetilde{ab}\mid cd)-
(\bwidetilde{ab}\mid\bwidetilde{cd})$
\end{document}
There is also a trick to force a wider version.
On the other hand, if you want Times-like fonts, newtxmath already has a bold version of the math extension font.
\documentclass{article}
\usepackage{amsmath}
\usepackage{newtxmath,newtxtext}
\DeclareSymbolFont{boldlargesymbols}{LMX}{ntxexx}{b}{n}
\DeclareMathAccent{\bwidetilde}{\mathord}{boldlargesymbols}{"65}
\begin{document}
$\widetilde{(ab\mid cd)}=
(ab\mid\widetilde{cd})+(\widetilde{ab}\mid cd)-
(\widetilde{ab}\mid\widetilde{cd})$
$\bwidetilde{(ab\mid cd)}=
(ab\mid\bwidetilde{cd})+(\bwidetilde{ab}\mid cd)-
(\bwidetilde{ab}\mid\bwidetilde{cd})$
\end{document}
I'm afraid you hit on something that can't be easily solved. Here for comparison all possible solutions for making math stuff bold and then a handmade bold tilde T:
\documentclass{standalone}
\usepackage{amsbsy}
\usepackage{bm}
\usepackage{fixmath}
\usepackage{graphicx}
\begin{document}
% not bold
$\widetilde T$
% not bold enough either
$\mathbf{\widetilde T}$
$\pmb{\widetilde T}$
\boldmath$\widetilde T$
$\boldsymbol{\widetilde T}$
$\bm{\widetilde T}$
$\mathbold{\widetilde T}$
% maybe even crayons would be easier and prettier but well ...
\raisebox{.7em}{\resizebox{.6em}{!}{\ensuremath{\bm{\sim}}}}\hspace{-.7em}$T$
\end{document}

Using .8em in the raisebox will be about the same height as the other tildes but I personally liked it better this way. I'm not saying it's pretty and I'm not saying it's easy :/
Some approachs:

\documentclass{article}
\usepackage{graphicx,xcolor}
\usepackage{mathtools}
\begin{document}
\boldmath $\widetilde{T}$\unboldmath
\color{blue!50!black} ~
% require graphicx
\resizebox{.8em}{1.1em}{\boldmath $\displaystyle \widetilde{\scriptstyle T}$\unboldmath}
% ooaling solution
\boldmath \ooalign{$\textstyle\widetilde{\phantom{W}}$\cr\hidewidth$T$\hidewidth\cr} \boldmath
% require mathtools
\boldmath $\mathrlap{\widetilde{\phantom{W}}}\,T$\unboldmath
\end{document}
When the tilde doesn't need to be wide you can use $\bm{\thicksim}$, with the bm and amssymb packages.