I am currently having issues with the display of this equation below.
The code I have inserted is using align but I have also tried using eqnarray, (which has right-alignment but is deprecated), and am now at the point of considering using a table.
The alignment here doesn't appear to do as the documentation says, and when I add extra &'s I can get the format slightly better but not exactly as I want. To be clear, it is the right-alignment of the second column that is giving me most trouble.
Code:
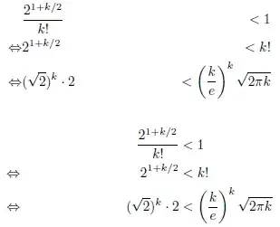
\begin{align*}
&\frac{2^{1+k/2}}{k!} &< 1\\
\Leftrightarrow &2^{1+k/2} &< k!\\
\Leftrightarrow& (\sqrt{2})^k\cdot 2 &< \left(\frac{k}{e}\right)^k \sqrt{2 \pi k}
\end{align*}
What it looks like now:

What I want it to look like:

